Online Database of Chemicals from Around the World

5-氧代-L-脯氨酰-L-亮氨酰-L-亮氨酰甘氨酰甘氨酰-L-精氨酰-L-苯丙氨酰胺
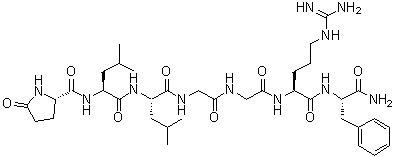
[CAS# 119116-89-1]

基本信息
英文名 5-Oxo-L-prolyl-L-leucyl-L-leucylglycylglycyl-L-arginyl-L-phenylalaninamide
别名 Pol-RFamide
产品名称 5-氧代-L-脯氨酰-L-亮氨酰-L-亮氨酰甘氨酰甘氨酰-L-精氨酰-L-苯丙氨酰胺
分子结构 CAS 登录号:119116-89-1, 5-氧代-L-脯氨酰-L-亮氨酰-L-亮氨酰甘氨酰甘氨酰-L-精氨酰-L-苯丙氨酰胺
分子式 C36H57N11O8
分子量 771.91
CAS 登录号 119116-89-1
物理化学性质
溶解度 极微溶解 (0.63 g/L) (25 ºC), 计算值*
密度 1.38±0.1 g/cm3 (20 ºC 760 torr), 计算值*
* 使用计算软件 Advanced Chemistry Development (ACD/Labs) V11.02 (©1994-2016 ACD/Labs)
市场分析报告
请浏览5-氧代-L-脯氨酰-L-亮氨酰-L-亮氨酰甘氨酰甘氨酰-L-精氨酰-L-苯丙氨酰胺市场分析报告总目录
相关产品
5-(1-氧代丙基)-2-(苯硫基)苯乙酸甲酯  N-[1-(1-氧代丙基)-4-哌啶基]-N'-[4-(三氟甲氧基)苯基]脲  2-(2-氧代丙基)-丙二酸二乙酯  5-(2-氧代丙基)-3-吡啶甲腈  5-氧代-L-脯氨酸铥络合物  5-氧代-DL-脯氨酸钛络合物  5-氧代-L-脯氨酰-L-丙氨酸  5-氧代-L-脯氨酰-L-天冬氨酰胺酰甘氨酸  5-氧代-L-脯氨酰-L-天冬氨酰胺酰-L-苯丙氨酰-L-组氨酰-L-亮氨酰-L-精氨酰-L-脯氨酰胺单盐酸盐  5-氧代-L-脯氨酰-L-组氨酰-N-(4-甲氧基-2-萘基)-L-脯氨酰胺  5-氧代-L-脯氨酰-L-蛋氨酰-L-丙氨酰-L-缬氨酰-L-赖氨酰-L-赖氨酰-L-酪氨酰-L-亮氨酰-L-天冬氨酰胺酰-L-丝氨酰-L-异亮氨酰-L-亮氨酰-L-天冬氨酰胺  alpha-(5-氧代-L-脯氨酰)-(3-甲基-L-组氨酰)-L-脯氨酰胺  5-氧代-L-脯氨酰-L-苯丙氨酰甘氨酰胺  5-氧代-L-脯氨酰-L-色氨酰-L-亮氨酰-L-精氨酰甘氨酰-L-精氨酰-L-苯丙氨酰胺  5-氧代-L-脯氨酰-L-缬氨酰-L-赖氨酰-L-亮氨酰-L-酪氨酰-L-精氨酰-L-脯氨酰胺  16-氧代原间千金藤碱  丙酮醛-1-肟  氧代丙二酸二乙酯一水合物  1-氧代-1,2,3-丙烷三羧酸 1,2,3-三乙酯  alpha-[(1-氧代-2-丙烯基)氨基]苯乙酸