Online Database of Chemicals from Around the World

灵芝烯酸 F
[CAS# 120462-47-7]

供应商目录
上海源叶生物科技有限公司 中国 询价快递  
+86 (21) 6184-5781
+86 13585604150
shyysw053@163.com
QQ 交谈
化学品生产商 (2009年起)
chemBlink 标准供应商 (2016年起)
灵芝烯酸 F供应商总目录
基本信息
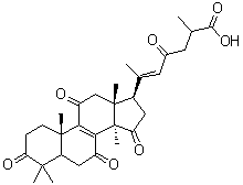
英文名 Ganoderenic acid F
别名 (20E)-3,7,11,15,23-Pentaoxo-lanosta-8,20(22)-dien-26-oic acid
产品名称 灵芝烯酸 F
分子结构 CAS 登录号:120462-47-7, 灵芝烯酸 F
分子式 C30H38O7
分子量 510.62
CAS 登录号 120462-47-7
物理化学性质
溶解度 不溶 (2.8e-4 g/L) (25 ºC), 计算值*
密度 1.23±0.1 g/cm3 (20 ºC 760 torr), 计算值*
* 使用计算软件 Advanced Chemistry Development (ACD/Labs) V11.02 (©1994-2016 ACD/Labs)
市场分析报告
请浏览灵芝烯酸 F市场分析报告总目录
相关产品
神经节苷酯 GM4  神经节苷酯 GQ1b 四钠盐  甘肃黄芩素  加尼瑞克  加尼瑞克  灵芝醛 A  灵芝烯酸 B  灵芝烯酸 C  灵芝烯酸 D  灵芝烯酸 E  灵芝烯酸 H  11-O-没食子酰岩白菜素  4-O-没食子酰岩白菜素  2''-O-没食子酰基金丝桃苷  6'-O-没食子酰芍药甙  5-没食子酰奎宁酸  4-O-没食子酰基奎宁酸  N-乙酰半乳糖胺-L96  加洛他滨  日本蟾蜍毒苷元