Online Database of Chemicals from Around the World

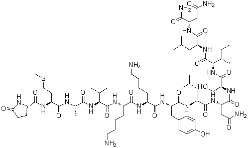
5-Oxo-L-prolyl-L-methionyl-L-alanyl-L-valyl-L-lysyl-L-lysyl-L-tyrosyl-L-leucyl-L-asparaginyl-L-seryl-L-isoleucyl-L-leucyl-L-aspartamide
[CAS# 134907-86-1]

Identification
Classification Biochemical >> Peptide
Name 5-Oxo-L-prolyl-L-methionyl-L-alanyl-L-valyl-L-lysyl-L-lysyl-L-tyrosyl-L-leucyl-L-asparaginyl-L-seryl-L-isoleucyl-L-leucyl-L-aspartamide
Molecular Structure CAS # 134907-86-1, 5-Oxo-L-prolyl-L-methionyl-L-alanyl-L-valyl-L-lysyl-L-lysyl-L-tyrosyl-L-leucyl-L-asparaginyl-L-seryl-L-isoleucyl-L-leucyl-L-aspartamide
Molecular Formula C68H114N18O18S
Molecular Weight 1503.81
CAS Registry Number 134907-86-1
Properties
Solubility Freely soluble (990 g/L) (25 ºC), Calc.*
* Calculated using Advanced Chemistry Development (ACD/Labs) Software V11.02 (©1994-2016 ACD/Labs)
Market Analysis Reports
List of Reports Available for 5-Oxo-L-prolyl-L-methionyl-L-alanyl-L-valyl-L-lysyl-L-lysyl-L-tyrosyl-L-leucyl-L-asparaginyl-L-seryl-L-isoleucyl-L-leucyl-L-aspartamide
Related Products
N-[1-(1-Oxopropyl)-4-piperidinyl]-N'-[4-(trifluoromethoxy)phenyl]urea  2-(2-Oxopropyl)-propanedioic acid 1,3-diethyl ester  5-(2-Oxopropyl)-3-pyridinecarbonitrile  5-Oxo-L-proline thulium complex  5-Oxo-DL-proline titanium complex  5-Oxo-L-prolyl-L-alanine  5-Oxo-L-prolyl-L-asparaginylglycine  5-Oxo-L-prolyl-L-asparaginyl-L-phenylalanyl-L-histidyl-L-leucyl-L-arginyl-L-prolinamide monohydrochloride  5-Oxo-L-prolyl-L-histidyl-N-(4-methoxy-2-naphthalenyl)-L-prolinamide  5-Oxo-L-prolyl-L-leucyl-L-leucylglycylglycyl-L-arginyl-L-phenylalaninamide  alpha-(5-Oxo-L-prolyl)-(3-methyl-L-histidyl)-L-prolinamide  5-Oxo-L-prolyl-L-phenylalanylglycinamide  5-Oxo-L-prolyl-L-tryptophyl-L-leucyl-L-arginylglycyl-L-arginyl-L-phenylalaninamide  5-Oxo-L-prolyl-L-valyl-L-lysyl-L-leucyl-L-tyrosyl-L-arginyl-L-prolinamide  16-Oxoprometaphanine  2-Oxopropanal oxime  Oxopropanedioic acid diethyl ester monohydrate  1-Oxo-1,2,3-propanetricarboxylic acid 1,2,3-triethyl ester  alpha-[(1-Oxo-2-propenyl)amino]benzeneacetic acid  N6-(1-Oxo-2-propen-1-yl)-L-lysine