| Discovery Fine Chemicals Ltd. | 英国 | 询价快递 | ||
|---|---|---|---|---|
![]() |
+44 (1202) 874-517 | |||
![]() |
pjc@discofinechem.com | |||
| 化学品生产商 | ||||
| chemBlink 标准供应商 (2009年起) | ||||
| 台州市科瑞生物技术有限公司 | 中国 | 询价快递 | ||
|---|---|---|---|---|
![]() |
+86 (576) 8881-3233 8820-5808 +86 13396860566 | |||
![]() |
sales@pharm-intermediates.com | |||
![]() |
QQ 交谈 | |||
| 化学品生产商 (2011年起) | ||||
| chemBlink 标准供应商 (2009年起) | ||||
| BOC Sciences | 美国 | 询价快递 | ||
|---|---|---|---|---|
![]() |
+1 (631) 485-4226 | |||
![]() |
info@bocsci.com | |||
| 化学品生产商 | ||||
| chemBlink 标准供应商 (2010年起) | ||||
| Glentham Life Sciences | 英国 | 询价快递 | ||
|---|---|---|---|---|
![]() |
+44 (2033) 978-798 | |||
![]() |
info@glenthamls.com | |||
| 化学品供销商 (2013年起) | ||||
| chemBlink 标准供应商 (2013年起) | ||||
| Hangzhou Leap Chem Co., Ltd. | 中国 | 询价快递 | ||
|---|---|---|---|---|
![]() |
+86 (571) 8771-1850 | |||
![]() |
market19@leapchem.com | |||
![]() |
QQ 交谈 | |||
| 化学品生产商 (2006年起) | ||||
| chemBlink 标准供应商 (2015年起) | ||||
| 上海赢瑞生物医药科技有限公司 | 中国 | 询价快递 | ||
|---|---|---|---|---|
![]() |
+86 (21) 3358-5366 3466-6753 +86 13311639313 | |||
![]() |
sales02@shyrchem.com | |||
![]() |
QQ 交谈 | |||
![]() |
Skype 聊天 | |||
| 化学品生产商 (2009年起) | ||||
| chemBlink 标准供应商 (2017年起) | ||||
| 成都普瑞法科技开发有限公司 | 中国 | 询价快递 | ||
|---|---|---|---|---|
![]() |
+86 (28) 8263-3860 8263-3987 | |||
![]() |
sales@biopurify.com biopurify@gmail.com | |||
![]() |
QQ 交谈 | |||
![]() |
Skype 聊天 | |||
| 化学品生产商 | ||||
| chemBlink 标准供应商 (2017年起) | ||||
| 泰普公司 | 中国 | 询价快递 | ||
|---|---|---|---|---|
![]() |
+86 85220966 | |||
![]() |
order@typugroup.com | |||
| 化学品供销商 (2008年起) | ||||
| chemBlink 标准供应商 (2021年起) | ||||
| 产品分类 | 原料药 >> 抗生素类药物 >> 多烯类药 |
|---|---|
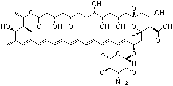
| 英文名 | Amphotericin B |
| 别名 | 33-[(3-Amino-3,6-dideoxy-beta-D-mannopyranosyl)oxy]-1,3,5,6,9,11,17,37-octahydroxy-15,16,18-trimethyl-13-oxo-14,39-Dioxabicyclo[33.3.1]nonatriaconta-19,21,23,25,27,29,31-heptaene-36-carboxylic acid; Fungizone |
| 产品名称 | 两性霉素 B |
| 分子结构 | ![]() |
| 分子式 | C47H73NO17 |
| 分子量 | 924.08 |
| CAS 登录号 | 1397-89-3 |
| EC 号码 | 215-742-2 |
| 分子行输入简码 SMILES |
C[C@H]1/C=C/C=C/C=C/C=C/C=C/C=C/C=C/[C@@H](C[C@H]2[C@@H]([C@H](C[C@](O2)(C[C@H](C[C@H]([C@@H](CC[C@H](C[C@H](CC(=O)O[C@H]([C@@H]([C@@H]1O)C)C)O)O)O)O)O)O)O)C(=O)O)O[C@H]3[C@H]([C@H]([C@@H]([C@H](O3)C)O)N)O |
| 溶解度 | <0.1 g/100 ml (21 ºC, 水) |
|---|---|
| 密度 | 1.34±0.1 g/cm3 |
| 折射率 | 1.614, 计算值* |
| 沸点 | 1140.4±65.0 ºC (760 mmHg), 计算值* |
| 闪点 | 643.5±34.3 ºC, 计算值* |
| * | 使用计算软件 Advanced Chemistry Development (ACD/Labs). |
| 危险品标志 |
| ||||||||||||||||||||||||||||||||||||||||||||||||||||||||
|---|---|---|---|---|---|---|---|---|---|---|---|---|---|---|---|---|---|---|---|---|---|---|---|---|---|---|---|---|---|---|---|---|---|---|---|---|---|---|---|---|---|---|---|---|---|---|---|---|---|---|---|---|---|---|---|---|---|
| 危害标签 | H315-H319-H335 说明 | ||||||||||||||||||||||||||||||||||||||||||||||||||||||||
| 防护标签 | P261-P264-P271-P280-P302+P352-P304+P340-P305+P351+P338-P312-P362-P403+P233-P501 说明 | ||||||||||||||||||||||||||||||||||||||||||||||||||||||||
| 危害分类 | |||||||||||||||||||||||||||||||||||||||||||||||||||||||||
| |||||||||||||||||||||||||||||||||||||||||||||||||||||||||
| SDS | 化学品安全技术说明书参考文本 | ||||||||||||||||||||||||||||||||||||||||||||||||||||||||
|
两性霉素 B 是由纽约州卫生部的研究人员 Rachel Fuller Brown 和 Elizabeth Lee Hazen 于 1955 年在抗真菌研究方面的开创性工作中发现的。 这一突破来自对土壤样本潜在抗真菌活性的系统筛选。 该化合物是从结节链霉菌培养物中分离出来的,这是一种在土壤中发现的细菌。 两性霉素 B 仍然是治疗严重全身性真菌感染的基石。 它对多种真菌病原体非常有效,包括念珠菌和曲霉属。 其作用机制涉及与真菌细胞膜的关键成分麦角甾醇结合,导致膜完整性破坏并随后导致细胞死亡。 这使得它特别适用于治疗危及生命的真菌感染,例如侵袭性念珠菌病和曲霉病,特别是对于免疫功能低下的患者。 两性霉素 B 还用于治疗真菌性脑膜炎,这是一种由新型隐球菌等真菌引起的中枢神经系统严重感染。 鞘内或心室内给药可以在脑脊液中达到治疗浓度,从而有效治疗中枢神经系统内的真菌病原体。 在某些高危患者群体中,例如接受骨髓移植或接受大剂量化疗的患者,可以预防性使用两性霉素 B 来预防侵袭性真菌感染。 这种积极主动的方法有助于减少真菌感染的发生率,这可以显着影响免疫功能低下个体的患者预后。 两性霉素 B 还用于治疗利什曼病,这是一种由利什曼原虫属原生动物引起的寄生虫病。 参考文献 1979. Interaction of the polyene antibiotic amphotericin B with phospholipid bilayer membranes: A circular dichroism study. Biochemical and Biophysical Research Communications. DOI: 10.1016/0006-291x(79)91507-9 1979. Treatment of Experimental Naegleria Meningoencephalitis with a Combination of Amphotericin B and Rifamycin. Scandinavian Journal of Infectious Diseases. DOI: 10.3109/inf.1979.11.issue-2.10 1979. Comparison of Microdilution and Broth Dilution Techniques for the Susceptibility Testing of Yeasts to 5-Fluorocytosine and Amphotericin B. Antimicrobial Agents and Chemotherapy. DOI: 10.1128/aac.15.3.475 |
| 市场分析报告 |
| 请浏览两性霉素 B市场分析报告总目录 |