Online Database of Chemicals from Around the World

Tylosin tartrate
[CAS# 1405-54-5]

List of Suppliers
Epochem Co., Ltd. China Inquire  
+86 (21) 6760-1595
6760-1597
seth_wang@epochem.com
QQ chat
Chemical manufacturer since 2006
chemBlink standard supplier since 2005
Arshine Technology Co., Ltd. China Inquire  
+86 (755) 3333-0822
marketing@arshine.com.cn
Chemical manufacturer
chemBlink standard supplier since 2010
Hefei TNJ Chemical Industry Co., Ltd. China Inquire  
+86 (551) 6541-8684
sales@tnjchem.com
Chemical manufacturer since 2001
chemBlink standard supplier since 2010
Rensin Chemicals Limited China Inquire  
+86 (25) 8770-2966
aaron@rensin-chem.com
aaron.bict@hotmail.com
Chemical manufacturer since 1998
chemBlink standard supplier since 2010
Hubei Yasen Biotechnology Co., Ltd. China Inquire  
+86 (27) 8323-0129
wangjingjing@whhsyy.com
Chemical manufacturer since 2009
chemBlink standard supplier since 2013
Hangzhou Leap Chem Co., Ltd. China Inquire  
+86 (571) 8771-1850
market19@leapchem.com
QQ chat
Chemical manufacturer since 2006
chemBlink standard supplier since 2015
LKT Laboratories, Inc. USA Inquire  
+1 (888) 558-5227
peacerli@mbolin-lktlabs.com
Chemical manufacturer
Ivy Fine Chemicals USA Inquire  
+1 (856) 465-8550
sales@ivychem.com
Chemical manufacturer
Complete supplier list of Tylosin tartrate
Identification
Classification API >> Antibiotics >> Other antibiotics
Name Tylosin tartrate
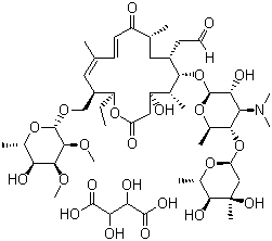
Molecular Structure CAS # 1405-54-5, Tylosin tartrate
Molecular Formula C46H77NO17.C4H6O6
Molecular Weight 1066.19
CAS Registry Number 1405-54-5
EC Number 215-781-5
Safety Data
Hazard Classification
up    Details
HazardClassCategory CodeHazard Statement
Respiratory sensitizationResp. Sens.1H334
Skin sensitizationSkin Sens.1H317
Eye irritationEye Irrit.2H319
Specific target organ toxicity - single exposureSTOT SE3H335
Chronic hazardous to the aquatic environmentAquatic Chronic1H410
Acute hazardous to the aquatic environmentAquatic Acute1H400
Skin irritationSkin Irrit.2H315
SDS Available
Market Analysis Reports
List of Reports Available for Tylosin tartrate
Related Products
Tween 20  Tween 60  Tween 65  Tween 80  Tween 85  TWS 119  Tylosin  Tylosin 3-acetate 4B-(3-methylbutanoate) (2R,3R)-2,3-dihydroxybutanedioate  Tylosin phosphate  Tyloxapol  C-type natriuretic peptide (human clone lambdahCNP 53-amino acid isoform)  Type XIV protease  Typhaneoside  Tyramine  Tyramine hydrochloride  [D-Tyr4]melanotan-II  L-Tyrosinamide  D-Tyrosinamide hydrochloride