Online Database of Chemicals from Around the World

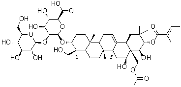
(3beta,4alpha,16alpha,21beta,22alpha)-28-(乙酰氧基)-16,22,23-三羟基-21-[[(2E)-2-甲基-1-氧代-2-丁烯-1-基]氧基]齐墩果-12-烯-3-基 2-O-beta-D-吡喃葡萄糖基-beta-D-吡喃葡糖苷酸
[CAS# 1613506-28-7]

基本信息
英文名 (3beta,4alpha,16alpha,21beta,22alpha)-28-(Acetyloxy)-16,22,23-trihydroxy-21-[[(2E)-2-methyl-1-oxo-2-buten-1-yl]oxy]olean-12-en-3-yl 2-O-beta-D-glucopyranosyl-beta-D-glucopyranosiduronic acid
产品名称 (3beta,4alpha,16alpha,21beta,22alpha)-28-(乙酰氧基)-16,22,23-三羟基-21-[[(2E)-2-甲基-1-氧代-2-丁烯-1-基]氧基]齐墩果-12-烯-3-基 2-O-beta-D-吡喃葡萄糖基-beta-D-吡喃葡糖苷酸
分子结构 CAS 登录号:1613506-28-7, (3beta,4alpha,16alpha,21beta,22alpha)-28-(乙酰氧基)-16,22,23-三羟基-21-[[(2E)-2-甲基-1-氧代-2-丁烯-1-基]氧基]齐墩果-12-烯-3-基 2-O-beta-D-吡喃葡萄糖基-beta-D-吡喃葡糖苷酸
分子式 C49H76O19
分子量 969.12
CAS 登录号 1613506-28-7
物理化学性质
溶解度 不溶 (3.1e-4 g/L) (25 ºC), 计算值*
密度 1.40±0.1 g/cm3 (20 ºC 760 torr), 计算值*
* 使用计算软件 Advanced Chemistry Development (ACD/Labs) V11.02 (©1994-2019 ACD/Labs)
市场分析报告
请浏览(3beta,4alpha,16alpha,21beta,22alpha)-28-(乙酰氧基)-16,22,23-三羟基-21-[[(2E)-2-甲基-1-氧代-2-丁烯-1-基]氧基]齐墩果-12-烯-3-基 2-O-beta-D-吡喃葡萄糖基-beta-D-吡喃葡糖苷酸市场分析报告总目录
相关产品
4-[[4-(乙酰氧基)苯基]亚氨基]-2,5-环己二烯-1-酮  (1R,5R,7S,8S)-7-(乙酰氧基)-8-(苯基甲氧基)-3,6-二氧杂双环[3.2.1]辛烷-5-甲醇 5-乙酸酯  4-[[4-(乙酰氧基)苯基]-2-吡啶基甲基]苯酚  3beta-羟基孕甾-16-烯-20-酮-3-醋酸酯  4-(乙酰氧基)-2H,3H-吡喃-2,6-二酮  3-(乙酰氧基)-2,4,5,6-四氢-1H-苯并[de]异喹啉-1-酮  alpha-(乙酰氧基)胸苷  (3beta,12beta,16beta,23S,24R,25R)-12-(乙酰氧基)-16,23:23,26:24,25-三环氧-9,19-环羊毛甾-7-烯-3-基 beta-D-吡喃木糖苷  12-(乙酰氧基)-3,6,7-三羟基胆烷-24-酸甲酯  (3beta,4beta,16alpha,21beta,22alpha)-22-(乙酰氧基)-16,23,28-三羟基-21-[[(2E)-2-甲基-1-氧代-2-丁烯-1-基]氧基]齐墩果-12-烯-3-基 2-O-beta-D-吡喃葡萄糖基-beta-D-吡喃葡糖苷酸  (6S)-6-[(1R)-1-(乙酰氧基)癸基]四氢-2H-吡喃-2-酮  2-乙酰基菲  2-乙酰基-1,10-菲罗啉  O-乙酰基-N-(1-菲基甲基)羟胺  2-乙酰基吩噻嗪  10-乙酰基-3,7-吩恶嗪二醇二乙酸酯  N-(2-乙酰苯基)乙酰胺  4-乙酰氧基苯乙酮  4-乙酰基苯基乙酸  2-乙酰基苯基乙腈