Online Database of Chemicals from Around the World

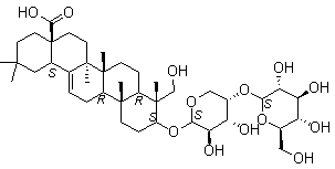
Scabioside C
[CAS# 17233-22-6]

List of Suppliers
BOC Sciences USA Inquire  
+1 (631) 485-4226
info@bocsci.com
Chemical manufacturer
chemBlink standard supplier since 2010
Chengdu Must Bio-technology Co., Ltd. China Inquire  
+86 (28) 8528-7229
anniedai0203@gmail.com
Chemical manufacturer since 2007
chemBlink standard supplier since 2012
Chengdu Biopurify Phytochemicals Ltd. China Inquire  
+86 (28) 8263-3860
8263-3987
sales@biopurify.com
biopurify@gmail.com
Skype Chat
QQ chat
Chemical manufacturer
chemBlink standard supplier since 2017
Neostar United (Changzhou) Industrial Co., Ltd. China Inquire  
+86 (519) 8555-7386
+86 18015025600
marketing1@neostarunited.com
Chemical distributor since 2014
chemBlink standard supplier since 2020
Indofine Chemical Company, Inc. USA Inquire  
+1 (888) 463-6346
info@indofinechemical.com
Chemical manufacturer since 1981
Complete supplier list of Scabioside C
Identification
Name Scabioside C
Molecular Structure CAS # 17233-22-6, Scabioside C
Molecular Formula C41H66O13
Molecular Weight 766.97
CAS Registry Number 17233-22-6
Properties
Solubility Insoluble (5.7E-4 g/L) (25 ºC), Calc.*
Density 1.35±0.1 g/cm3 (20 ºC 760 Torr), Calc.*
Melting point 242-244 ºC**
* Calculated using Advanced Chemistry Development (ACD/Labs) Software V11.02 (©1994-2013 ACD/Labs)
** Mzhel'skaya, L. G.; Khim. Biokhim. Uglevodov, Mater. Vses. Konf., 4th 1969, P106-9.
Market Analysis Reports
List of Reports Available for Scabioside C
Related Products
Schleicheol 1  Schleicheol 2  Scholaricine  Schrock's Catalyst  SCI 208  Sciadopitysin  Scillascillin  Scilliroside  Scintiverse BD cocktail  Sclareol  Scalaradial  Scandine  Scandium-45  Scandium acetate  Scandium chloride  Scandium(III) chloride hexahydrate  Scandium fluoride  Scandium(III) nitrate  Scandium nitride  Scandium oxide