Online Database of Chemicals from Around the World

Mudanpioside C
[CAS# 172760-03-1]

List of Suppliers
Chengdu Biopurify Phytochemicals Ltd. China Inquire  
+86 (28) 8263-3860
8263-3987
sales@biopurify.com
biopurify@gmail.com
Skype Chat
QQ chat
Chemical manufacturer
chemBlink standard supplier since 2017
Neostar United (Changzhou) Industrial Co., Ltd. China Inquire  
+86 (519) 8555-7386
+86 18015025600
marketing1@neostarunited.com
Chemical distributor since 2014
chemBlink standard supplier since 2020
Complete supplier list of Mudanpioside C
Identification
Classification Natural product >> Terpenes
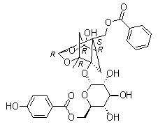
Name Mudanpioside C
Molecular Structure CAS # 172760-03-1, Mudanpioside C
Molecular Formula C30H32O13
Molecular Weight 600.57
CAS Registry Number 172760-03-1
Properties
Solubility Practically insoluble (0.012 g/L) (25 ºC), Calc.*
Density 1.62±0.1 g/cm3 (20 ºC 760 Torr), Calc.*
* Calculated using Advanced Chemistry Development (ACD/Labs) Software V11.02 (©1994-2013 ACD/Labs)
Market Analysis Reports
List of Reports Available for Mudanpioside C
Related Products
(R)-Muscone  Musellactone  Musellarin A  Musellarin B  Mucins submandibular  Mucobromic acid  Mucochloric acid  trans,trans-Muconic acid  Mucrolidin  Mucuna Pruriens Powder Extract  Mudanpioside H  Mudanpioside J  MuDelta  Mulberrin  Mulberrofuran A  Mulberrofuran C  Mulberrofuran G  Mulberrofuran G pentaacetate  Mulberrofuran H  Mulberrofuran K