Online Database of Chemicals from Around the World

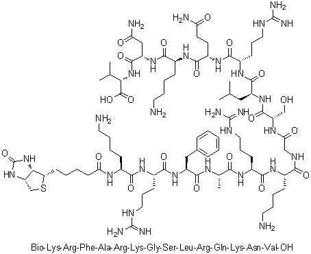
N2-[5-[(3aS,4S,6aR)-Hexahydro-2-oxo-1H-thieno[3,4-d]imidazol-4-yl]-1-oxopentyl]-L-lysyl-L-arginyl-L-phenylalanyl-L-alanyl-L-arginyl-L-lysylglycyl-L-seryl-L-leucyl-L-arginyl-L-glutaminyl-L-lysyl-L-asparaginyl-L-valine
[CAS# 177966-62-0]

Identification
Classification Biochemical >> Peptide
Name N2-[5-[(3aS,4S,6aR)-Hexahydro-2-oxo-1H-thieno[3,4-d]imidazol-4-yl]-1-oxopentyl]-L-lysyl-L-arginyl-L-phenylalanyl-L-alanyl-L-arginyl-L-lysylglycyl-L-seryl-L-leucyl-L-arginyl-L-glutaminyl-L-lysyl-L-asparaginyl-L-valine
Molecular Structure CAS # 177966-62-0, N2-[5-[(3aS,4S,6aR)-Hexahydro-2-oxo-1H-thieno[3,4-d]imidazol-4-yl]-1-oxopentyl]-L-lysyl-L-arginyl-L-phenylalanyl-L-alanyl-L-arginyl-L-lysylglycyl-L-seryl-L-leucyl-L-arginyl-L-glutaminyl-L-lysyl-L-asparaginyl-L-valine
Protein Sequence 1-14 XRFARKGSLR QKNV
[1-X-[BIO-L-lysyl];14-E-OH;]
Molecular Formula C83H144N30O20S
Molecular Weight 1914.29
CAS Registry Number 177966-62-0
Properties
Density 1.49±0.1 g/cm3 (20 ºC 760 Torr), Calc.*
* Calculated using Advanced Chemistry Development (ACD/Labs) Software V11.02 (©1994-2017 ACD/Labs)
Market Analysis Reports
List of Reports Available for N2-[5-[(3aS,4S,6aR)-Hexahydro-2-oxo-1H-thieno[3,4-d]imidazol-4-yl]-1-oxopentyl]-L-lysyl-L-arginyl-L-phenylalanyl-L-alanyl-L-arginyl-L-lysylglycyl-L-seryl-L-leucyl-L-arginyl-L-glutaminyl-L-lysyl-L-asparaginyl-L-valine
Related Products
6-[[5-(Hexahydro-2-oxo-1H-thieno[3,4-d]imidazol-4-yl)-1-oxopentyl]amino]-2-naphthalenecarboxylic acid methyl ester  6-[[6-[[5-[(3aS,4S,6aR)-Hexahydro-2-oxo-1H-thieno[3,4-d]imidazol-4-yl]-1-oxopentyl]amino]-1-oxohexyl]amino]-hexanoic acid 2,5-dioxo-3-sulfo-1-pyrrolidinyl ester sodium salt  N-[6-[[5-[(3aS,4S,6aR)-Hexahydro-2-oxo-1H-thieno[3,4-d]imidazol-4-yl]-1-oxopentyl]amino]-1-oxohexyl]-L-alpha-glutamyl-L-prolyl-L-glutaminyl-O-phosphono-L-tyrosyl-L-alpha-glutamyl-L-alpha-glutamyl-L-isoleucyl-L-prolyl-L-isoleucyl-L-tyrosyl-L-leucine  [3aS-(3aalpha,4beta,6aalpha)]-2-[N6-[6-[[5-(Hexahydro-2-oxo-1H-thieno[3,4-d]imidazol-4-yl)-1-oxopentyl]amino]-1-oxohexyl]-L-lysine]-omega-conotoxin G VIA  N-[6-[[5-[(3aS,4S,6aR)-Hexahydro-2-oxo-1H-thieno[3,4-d]imidazol-4-yl]-1-oxopentyl]amino]-1-oxohexyl]-O-phosphono-L-tyrosyl-L-alpha-glutamyl-L-alpha-glutamyl-L-isoleucine  N2-[5-[(3aS,4S,6aR)-Hexahydro-2-oxo-1H-thieno[3,4-d]imidazol-4-yl]-1-oxopentyl]-L-arginyl-L-alpha-aspartyl-L-alanylglycyl-L-seryl-L-glutaminyl-L-arginyl-L-prolyl-L-arginyl-L-lysyl-L-lysyl-L-alpha-glutamyl-L-alpha-aspartyl-L-asparaginyl-L-valyl-L-leucyl-L-valyl-L-alpha-glutamyl-L-seryl-L-histidyl-L-alpha-glutamyl-L-lysyl-L-seryl-L-leucylglycine  N-[5-[(3aS,4S,6aR)-Hexahydro-2-oxo-1H-thieno[3,4-d]imidazol-4-yl]-1-oxopentyl]-L-alpha-aspartyl-L-alanyl-L-alpha-glutamyl-L-phenylalanyl-L-arginyl-L-histidyl-L-alpha-aspartyl-L-serylglycyl-L-tyrosyl-L-alpha-glutamyl-L-valyl-L-histidyl-L-histidyl-L-glutaminyl-L-lysyl-L-leucyl-L-valyl-L-phenylalanyl-L-phenylalanyl-L-alanyl-L-alpha-glutamyl-L-alpha-aspartyl-L-valylglycyl-L-seryl-L-asparaginyl-L-lysylglycyl-L-alanyl-L-isoleucyl-L-isoleucylglycyl-L-leucyl-L-methionyl-L-valylglycylglycyl-L-valyl-L-valine  N-[5-[(3aS,4S,6aR)-Hexahydro-2-oxo-1H-thieno[3,4-d]imidazol-4-yl]-1-oxopentyl]-L-alpha-aspartyl-L-alanyl-L-alpha-glutamyl-L-phenylalanyl-L-arginyl-L-histidyl-L-alpha-aspartyl-L-serylglycyl-L-tyrosyl-L-alpha-glutamyl-L-valyl-L-histidyl-L-histidyl-L-glutaminyl-L-lysyl-L-leucyl-L-valyl-L-phenylalanyl-L-phenylalanyl-L-alanyl-L-alpha-glutamyl-L-alpha-aspartyl-L-valylglycyl-L-seryl-L-asparaginyl-L-lysylglycyl-L-alanyl-L-isoleucyl-L-isoleucylglycyl-L-leucyl-L-methionyl-L-valylglycylglycyl-L-valyl-L-valyl-L-isoleucyl-L-alanine  1-[N2-[5-[(3aS,4S,6aR)-Hexahydro-2-oxo-1H-thieno[3,4-d]imidazol-4-yl]-1-oxopentyl]-L-glutamine]-luteinizing hormone-releasing factor (swine)  [3aS-(3aalpha,4beta,6aalpha)]-N-[5-(Hexahydro-2-oxo-1H-thieno[3,4-d]imidazol-4-yl)-1-oxopentyl]-8-L-leucine-22-D-tryptophan-25-L-tyrosine-somatostatin-28 (sheep)  N2-[5-[(3aS,4S,6aR)-Hexahydro-2-oxo-1H-thieno[3,4-d]imidazol-4-yl]-1-oxopentyl]-L-lysyl-L-cysteinyl-L-asparaginyl-L-threonyl-L-alanyl-L-threonyl-L-cysteinyl-L-alanyl-L-threonyl-L-glutaminyl-L-arginyl-L-leucyl-L-alanyl-L-asparaginyl-L-phenylalanyl-L-leucyl-L-valyl-L-histidyl-L-seryl-L-seryl-L-asparaginyl-L-asparaginyl-L-phenylalanylglycyl-L-alanyl-L-isoleucyl-L-leucyl-L-seryl-L-seryl-L-threonyl-L-asparaginyl-L-valylglycyl-L-seryl-L-asparaginyl-L-threonyl-L-tyrosinamide cyclic (2→7)-disulfide  N-[5-[(3aS,4S,6aR)-Hexahydro-2-oxo-1H-thieno[3,4-d]imidazol-4-yl]-1-oxopentyl]neuropeptide Y (human)  N-[5-[(3aS,4S,6aR)-Hexahydro-2-oxo-1H-thieno[3,4-d]imidazol-4-yl]-1-oxopentyl]-somatostatin (sheep)  N-[5-[(3aS,4S,6aR)-Hexahydro-2-oxo-1H-thieno[3,4-d]imidazol-4-yl]-1-oxopentyl]-L-tyrosylglycyl-L-arginyl-L-lysyl-L-lysyl-L-arginyl-L-arginyl-L-glutaminyl-L-arginyl-L-arginyl-L-arginine  N-[5-[(3aS,4S,6aR)-Hexahydro-2-oxo-1H-thieno[3,4-d]imidazol-4-yl]-1-oxopentyl]-L-valyl-L-glutaminyl-L-isoleucyl-L-valyl-L-tyrosyl-L-lysyl-L-prolyl-L-valyl-L-alpha-aspartyl-L-leucyl-L-seryl-L-lysyl-L-valyl-L-threonyl-L-seryl-L-lysyl-L-cysteinylglycyl-L-seryl-L-leucylglycyl-L-asparaginyl-L-isoleucyl-L-histidyl-L-histidyl-L-lysyl-L-prolylglycylglycylglycyl-L-glutamine  21-[(3aS,4S,6aR)-Hexahydro-2-oxo-1H-thieno[3,4-d]imidazol-4-yl]-17-oxo-4,7,10,13-tetraoxa-16-azaheneicosanoic acid  21-[(3aS,4S,6aR)-Hexahydro-2-oxo-1H-thieno[3,4-d]imidazol-4-yl]-17-oxo-4,7,10,13-tetraoxa-16-azaheneicosanoic acid 2,5-dioxo-1-pyrrolidinyl ester  Hexahydro-4-methylphthalic anhydride  (3S)-Hexahydro-3-[(2-methylpropyl)amino]-2H-azepin-2-one  (3R,8aS)-Hexahydro-3-(2-methylpropyl)pyrrolo[1,2-a]pyrazine-1,4-dione