Online Database of Chemicals from Around the World

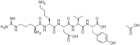
N-[N-[N-(N2-L-Arginyl-L-lysyl)-L-alpha-aspartyl]-L-valyl]-L-tyrosine acetate (salt)
[CAS# 177966-81-3]

Identification
Classification Biochemical >> Peptide
Name N-[N-[N-(N2-L-Arginyl-L-lysyl)-L-alpha-aspartyl]-L-valyl]-L-tyrosine acetate (salt)
Molecular Structure CAS # 177966-81-3, N-[N-[N-(N2-L-Arginyl-L-lysyl)-L-alpha-aspartyl]-L-valyl]-L-tyrosine acetate (salt)
Protein Sequence RKDVY
Type Location Description
modification undetermined modification
Molecular Formula C30H49N9O9.x(C2H4O2)
CAS Registry Number 177966-81-3
Market Analysis Reports
List of Reports Available for N-[N-[N-(N2-L-Arginyl-L-lysyl)-L-alpha-aspartyl]-L-valyl]-L-tyrosine acetate (salt)
Related Products
L-Arginyl-L-leucyl-L-leucyl-L-glutaminyl-L-alpha-glutamyl-L-threonyl-L-alpha-glutamyl-L-leucyl-L-valine  L-Arginyl-L-leucyl-L-leucyl-L-alpha-glutamyl-L-phenylalanyl-L-tyrosyl-L-leucyl-L-alanyl-L-methionyl-L-prolyl-L-phenylalanyl-L-alanine  L-Arginyl-L-leucyl-L-leucyl-L-valyl-L-prolyl-L-threonyl-L-glutaminyl-L-phenylalanyl-L-valine  L-Arginyl-L-leucyl-L-methionyl-L-lysyl-L-glutaminyl-L-alpha-aspartyl-L-phenylalanyl-L-seryl-L-valine  L-Arginyl-L-leucyl-L-prolyl-L-arginyl-L-isoleucyl-L-phenylalanyl-L-cysteinyl-L-seryl-L-cysteine  L-Arginyl-L-leucyl-L-seryl-L-seryl-L-cysteinyl-L-valyl-L-prolyl-L-valyl-L-alanine  L-Arginyl-L-leucyl-L-threonyl-L-seryl-L-arginyl-L-valyl-L-lysyl-L-alanyl-L-leucine  L-Arginyl-L-leucyl-L-valyl-L-alpha-aspartyl-L-alpha-aspartyl-L-phenylalanyl-L-leucyl-L-leucyl-L-valine  L-Arginyl-L-lysine  L-Arginyl-L-lysyl-L-arginyl-L-threonyl-L-leucyl-L-arginyl-L-arginyl-L-leucine  N2-[N-[N-[N-[N-[N-[N-[N-(N2-L-Arginyl-L-lysyl)-L-alpha-aspartyl]-L-valyl]-L-tyrosyl]-L-alpha-glutamyl]-L-alpha-glutamyl]-L-alanyl]-L-alpha-glutamyl]-L-asparagine  L-Arginyl-L-lysyl-L-valyl-L-alanyl-L-alpha-glutamyl-L-leucyl-L-valyl-L-histidyl-L-phenylalanyl-L-leucyl-L-leucyl-L-leucyl-L-lysyl-L-tyrosyl-L-arginine  L-Arginyl-L-lysyl-L-valyl-L-alanyl-L-alpha-glutamyl-L-leucyl-L-valyl-L-histidyl-L-phenylalanyl-L-leucyl-L-leucyl-L-leucyl-L-lysyl-L-tyrosyl-L-arginyl-L-alanine  L-Arginyl-L-lysyl-L-valyl-L-leucyl-L-arginyl-L-alpha-glutamyl-L-alpha-aspartyl-L-alpha-aspartyl-L-prolyl-L-seryl-L-seryl-L-valyl-L-arginyl-L-leucyl-L-alanyl-L-seryl-L-prolyl-L-seryl-L-serine  L-Arginyl-L-methionyl-L-prolyl-L-alpha-glutamyl-L-alanyl-L-alanyl-L-prolyl-L-prolyl-L-valine  L-Arginyl-L-methionyl-L-prolyl-L-threonyl-L-valyl-L-leucyl-L-glutaminyl-L-cysteinyl-L-valyl-L-asparaginyl-L-valyl-L-seryl-L-valyl-L-valyl-L-serine  L-Arginyl-L-arginyl-L-leucyl-L-seryl-L-seryl-L-leucyl-L-arginyl-L-alanine  L-Arginyl-L-arginyl-3-(2-naphthalenyl)-L-alanyl-L-cysteinyl-L-tyrosyl-L-arginyl-L-lysyl-D-lysyl-L-prolyl-L-tyrosyl-L-arginyl-N5-(aminocarbonyl)-L-ornithyl-L-cysteinyl-L-arginine cyclic (4→13)-disulfide  L-Arginyl-L-arginyl-L-tryptophyl-L-cysteinyl-L-tyrosyl-L-arginyl-L-lysyl-L-cysteinyl-L-tyrosyl-L-lysylglycyl-L-tyrosyl-L-cysteinyl-L-tyrosyl-L-arginyl-L-lysyl-L-cysteinyl-L-argininamide cyclic (4→17),(8→13)-bis(disulfide)  L-Arginyl-L-asparaginylglycyl-L-tyrosyl-L-arginyl-L-alanyl-L-leucyl-L-methionyl-L-alpha-aspartyl-L-lysyl-L-serine