Online Database of Chemicals from Around the World

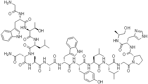
甘氨酰-L-色氨酰-L-苏氨酰-L-亮氨酰-L-天冬氨酰胺酰-L-丙氨酰-L-丙氨酰-D-色氨酰-L-酪氨酰-L-亮氨酰-L-亮氨酰甘氨酰-L-脯氨酰-N-[(1S)-2-羟基-1-甲基乙基]-L-组胺酰胺
[CAS# 184683-37-2]

基本信息
英文名 Glycyl-L-tryptophyl-L-threonyl-L-leucyl-L-asparaginyl-L-alanyl-L-alanyl-D-tryptophyl-L-tyrosyl-L-leucyl-L-leucylglycyl-L-prolyl-N-[(1S)-2-hydroxy-1-methylethyl]-L-histidinamide
产品名称 甘氨酰-L-色氨酰-L-苏氨酰-L-亮氨酰-L-天冬氨酰胺酰-L-丙氨酰-L-丙氨酰-D-色氨酰-L-酪氨酰-L-亮氨酰-L-亮氨酰甘氨酰-L-脯氨酰-N-[(1S)-2-羟基-1-甲基乙基]-L-组胺酰胺
分子结构 CAS 登录号:184683-37-2, 甘氨酰-L-色氨酰-L-苏氨酰-L-亮氨酰-L-天冬氨酰胺酰-L-丙氨酰-L-丙氨酰-D-色氨酰-L-酪氨酰-L-亮氨酰-L-亮氨酰甘氨酰-L-脯氨酰-N-[(1S)-2-羟基-1-甲基乙基]-L-组胺酰胺
分子式 C81H114N20O18
分子量 1655.90
CAS 登录号 184683-37-2
物理化学性质
溶解度 易溶 (480 g/L) (25 ºC), 计算值*
密度 1.316±0.06 g/cm3 (20 ºC 760 torr), 计算值*
* 使用计算软件 Advanced Chemistry Development (ACD/Labs) V11.02 (©1994-2016 ACD/Labs)
市场分析报告
请浏览甘氨酰-L-色氨酰-L-苏氨酰-L-亮氨酰-L-天冬氨酰胺酰-L-丙氨酰-L-丙氨酰-D-色氨酰-L-酪氨酰-L-亮氨酰-L-亮氨酰甘氨酰-L-脯氨酰-N-[(1S)-2-羟基-1-甲基乙基]-L-组胺酰胺市场分析报告总目录
相关产品
甘氨酰-L-脯氨酰-L-精氨酰-L-脯氨酰-L-丙氨酰胺二乙酸盐  甘氨酰-L-脯氨酰甘氨酰胺  (4R)-甘氨酰-L-脯氨酰-4-羟基-L-脯氨酸  甘氨酰肌氨酸  N-甘氨酰-D-丝氨酸  甘氨酰-L-丝氨酸  甘氨酰-L-丝氨酰-L-精氨酰-L-丙氨酰-L-组氨酰-L-丝氨酰-L-丝氨酰-L-组氨酰-L-亮氨酰-L-赖氨酰-L-丝氨酰-L-赖氨酰-L-赖氨酰甘氨酰-L-谷氨酰胺酰-L-丝氨酰-L-苏氨酰-L-丝氨酰-L-精氨酰-L-组氨酰-L-赖氨酰-L-赖氨酸  N-[N-[N-[N-[N-[N-[N-[N2-[N2-(N-甘氨酰-L-丝氨酰)-L-天冬氨酰胺酰]-L-赖氨酰]甘氨酰]-L-丙氨酰]-L-异亮氨酰]-L-异亮氨酰]甘氨酰]-L-亮氨酰]-L-正亮氨酸  甘氨酰-L-苏氨酰-L-alpha-谷氨酰-L-alpha-谷氨酰-L-精氨酰-L-异亮氨酰-L-脯氨酰-L-异亮氨酰-L-脯氨酰-L-亮氨酸  甘氨酰-L-苏氨酰甘氨酰-L-alpha-谷氨酰-L-赖氨酰-L-亮氨酰-L-精氨酰-L-亮氨酰-L-丝氨酰-L-丙氨酰-L-组氨酰-L-苏氨酰-L-异亮氨酸  甘氨酰-L-酪氨酸  甘氨酰-D-酪氨酸  N-甘氨酰-L-酪氨酸二水合物  甘氨酰-L-酪氨酰-L-脯氨酰甘氨酰-L-谷氨酰胺酰-L-缬氨酰胺  甘氨酰-L-酪氨酰-L-脯氨酰甘氨酰-L-赖氨酰-L-苯丙氨酰胺  甘氨酰-L-酪氨酰-L-脯氨酰甘氨酰-L-赖氨酰-L-苯丙氨酸  甘氨酰-L-缬氨酸  甘氨酰-L-缬氨酰-L-丙氨酰-L-亮氨酰-L-谷氨酰胺酰-L-苏氨酰-L-蛋氨酰-L-赖氨酰-L-谷氨酰胺  甘氨酰-L-缬氨酰-L-精氨酰甘氨酰-L-精氨酰-L-缬氨酰-L-alpha-谷氨酰-L-alpha-谷氨酰-L-异亮氨酸  甘氨酰-L-缬氨酰-L-亮氨酰-L-缬氨酰甘氨酰-L-缬氨酰-L-丙氨酰-L-亮氨酰-L-异亮氨酸