Online Database of Chemicals from Around the World

Bonducellpin C
[CAS# 197781-84-3]

供应商目录
CAS: 197781-84-3
产品: Bonducellpin C
暂时没有厂家供应
基本信息
产品分类 天然产物 >> 萜类
英文名 Bonducellpin C
产品名称 Bonducellpin C
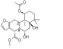
分子结构 CAS 登录号:197781-84-3, Bonducellpin C
分子式 C23H32O7
分子量 420.50
CAS 登录号 197781-84-3
物理化学性质
溶解度 几乎不溶 (0.088 g/L) (25 ºC), 计算值*
密度 1.27±0.1 g/cm3 (20 ºC 760 torr), 计算值*
熔点 112-113 ºC**
* 使用计算软件 Advanced Chemistry Development (ACD/Labs) V11.02 (©1994-2014 ACD/Labs)
** Peter, Sonia R.; Journal of Natural Products 1997, V60(12), P1219-1221.
市场分析报告
请浏览Bonducellpin C市场分析报告总目录
相关产品
黄细心酮 B  黄细心酮 E  Bohemine  宝丹酮  17-乙酸勃地酮  宝丹酮十一烯酸酯  波尔定碱  波尔定碱 EP 杂质B  蛙皮素  蚕沙酮  Bonellidine  骨粉  鱼骨粉  骨粉, 家禽肉  骨形成蛋白 2  Bongardol  9-硼双环[3.3.1]壬烷  9-硼双环[3.3.1]壬烷二聚物  9-硼杂双环[3.3.1]壬基三氟甲磺酸酯  琉璃苣油