Online Database of Chemicals from Around the World

L-丙氨酰-L-亮氨酰-L-alpha-天冬氨酰-L-缬氨酰-L-酪氨酰-L-天冬氨酰胺酰甘氨酰-L-亮氨酰-L-亮氨酸
[CAS# 201935-76-4]

基本信息
产品分类 生物化工 >> 多肽
英文名 L-Alanyl-L-leucyl-L-alpha-aspartyl-L-valyl-L-tyrosyl-L-asparaginylglycyl-L-leucyl-L-leucine
产品名称 L-丙氨酰-L-亮氨酰-L-alpha-天冬氨酰-L-缬氨酰-L-酪氨酰-L-天冬氨酰胺酰甘氨酰-L-亮氨酰-L-亮氨酸
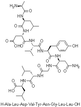
分子结构 CAS 登录号:201935-76-4, L-丙氨酰-L-亮氨酰-L-alpha-天冬氨酰-L-缬氨酰-L-酪氨酰-L-天冬氨酰胺酰甘氨酰-L-亮氨酰-L-亮氨酸
蛋白质序列 1-9 ALDVYNGLL
[9-E-OH;]
分子式 C45H72N10O14
分子量 977.11
CAS 登录号 201935-76-4
物理化学性质
溶解度 微溶 (3.6 g/L) (25 ºC), 计算值*
密度 1.257±0.06 g/cm3 (20 ºC 760 torr), 计算值*
* 使用计算软件 Advanced Chemistry Development (ACD/Labs) V11.02 (©1994-2016 ACD/Labs)
市场分析报告
请浏览L-丙氨酰-L-亮氨酰-L-alpha-天冬氨酰-L-缬氨酰-L-酪氨酰-L-天冬氨酰胺酰甘氨酰-L-亮氨酰-L-亮氨酸市场分析报告总目录
相关产品
beta-丙氨酰-L-异亮氨酸  L-丙氨酰-L-异亮氨酰-L-丙氨酰-L-丝氨酰-L-亮氨酰-L-异亮氨酰甘氨酰-L-缬氨酰-L-alpha-谷氨酰甘氨酸  L-丙氨酰-L-异亮氨酰-L-异亮氨酰-L-alpha-天冬氨酰-L-脯氨酰甘氨酰-L-alpha-天冬氨酰-L-丝氨酰-L-alpha-天冬氨酰-L-异亮氨酰-L-异亮氨酰-L-精氨酰-L-丝氨酰-L-蛋氨酰-L-脯氨酰-L-alpha-谷氨酰-L-谷氨酰胺酰-L-苏氨酰甘氨酰-L-alpha-谷氨酰-L-赖氨酸  L-丙氨酰-L-异亮氨酰-L-异亮氨酰-L-alpha-谷氨酰-L-alpha-谷氨酰-L-酪氨酰-L-亮氨酰-L-组氨酰-L-亮氨酸  L-丙氨酰-L-异亮氨酰-L-亮氨酰-L-丙氨酰-L-组氨酰-L-亮氨酰-L-天冬氨酰胺酰-L-苏氨酰-L-缬氨酸  L-丙氨酰-L-异亮氨酰-L-亮氨酰-L-丙氨酰-L-亮氨酰-L-亮氨酰-L-脯氨酰-L-丙氨酰-L-亮氨酸  L-丙氨酰-L-亮氨酸  DL-丙氨酰-DL-亮氨酸  L-丙氨酰-L-亮氨酰-L-天冬氨酰胺酰-L-alpha-谷氨酰-L-亮氨酰-L-亮氨酰-L-谷氨酰胺酰-L-组氨酰-L-缬氨酸  L-丙氨酰-L-亮氨酰-L-天冬氨酰胺酰-L-苯丙氨酰-L-脯氨酰甘氨酰-L-丝氨酰-L-谷氨酰胺酰-L-赖氨酸  L-丙氨酰-L-亮氨酰-L-半胱氨酰-L-精氨酰-L-色氨酰甘氨酰-L-亮氨酰-L-亮氨酰-L-亮氨酸  L-丙氨酰-L-丙氨酰-L-脯氨酸  L-丙氨酰-L-丙氨酰-L-缬氨酰-L-丙氨酰-L-亮氨酰-L-亮氨酰-L-脯氨酰-L-丙氨酰-L-缬氨酰-L-亮氨酰-L-亮氨酰-L-丙氨酰-L-亮氨酰-L-亮氨酰-L-丙氨酰-L-赖氨酸  L-丙氨酰-L-丙氨酰-L-缬氨酰-L-丙氨酰-L-亮氨酰-L-亮氨酰-L-脯氨酰-L-丙氨酰-L-缬氨酰-L-亮氨酰-L-亮氨酰-L-丙氨酰-L-亮氨酰-L-亮氨酰-L-丙氨酰-L-赖氨酰-L-天冬氨酰胺酰-L-天冬氨酰胺酰-L-亮氨酰-L-赖氨酰-L-alpha-谷氨酰-L-半胱氨酰甘氨酰-L-亮氨酰-L-酪氨酸  L-丙氨酰-L-丙氨酰-L-缬氨酰-L-丙氨酰-L-亮氨酰-L-亮氨酰-L-脯氨酰-L-丙氨酰-L-缬氨酰-L-亮氨酰-L-亮氨酰-L-丙氨酰-L-亮氨酰-L-亮氨酰-L-丙氨酰-L-脯氨酰-L-alpha-谷氨酰-L-丝氨酰-L-丙氨酰-L-丝氨酰甘氨酰-L-丙氨酰-L-丝氨酰-L-丙氨酰-L-alpha-天冬氨酰-L-丙氨酰-L-丝氨酰-L-缬氨酰-L-天冬氨酰胺酰-L-苯丙氨酰-L-亮氨酰-L-赖氨酸  L-丙氨酰-L-丙氨酰-L-缬氨酰-L-丙氨酰-L-亮氨酰-L-亮氨酰-L-脯氨酰-L-丙氨酰-L-缬氨酰-L-亮氨酰-L-亮氨酰-L-丙氨酰-L-亮氨酰-L-亮氨酰-L-丙氨酰-L-脯氨酰-L-alpha-谷氨酰-L-丝氨酰-L-丙氨酰-L-丝氨酰甘氨酰-L-脯氨酰-L-丝氨酰-L-alpha-谷氨酰-L-alpha-天冬氨酰-L-脯氨酰-L-丝氨酰-L-缬氨酰-L-天冬氨酰胺酰-L-苯丙氨酰-L-亮氨酰-L-赖氨酸  L-丙氨酰-L-丙氨酰-L-缬氨酰-L-丙氨酰-L-亮氨酰-L-亮氨酰-L-脯氨酰-L-丙氨酰-L-缬氨酰-L-亮氨酰-L-亮氨酰-L-丙氨酰-L-亮氨酰-L-亮氨酰-L-丙氨酰-L-脯氨酰-L-缬氨酰-L-谷氨酰胺酰-L-精氨酰-L-赖氨酰-L-精氨酰-L-谷氨酰胺酰-L-赖氨酰-L-亮氨酰-L-蛋氨酰-L-脯氨酸  L-丙氨酰-3-[[[(2R,3R)-3-(氨基羰基)环氧乙烷基]羰基]氨基]-L-丙氨酸  L-丙氨酰-L-1-氨基乙基膦酸  L-丙氨酰-L-精氨酰甘氨酰-L-脯氨酰-L-alpha-谷氨酰-L-丝氨酰-L-精氨酰-L-亮氨酰-L-亮氨酸