Online Database of Chemicals from Around the World

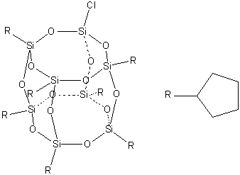
1-Chloro-3,5,7,9,11,13,15-heptacyclopentyloctasilsesquioxane
[CAS# 216972-57-5]

List of Suppliers
Alfa Chemistry USA Inquire  
+1 (201) 478-8534
inquiry@alfa-chemistry.com
Chemical distributor since 2012
chemBlink standard supplier since 2012
Complete supplier list of 1-Chloro-3,5,7,9,11,13,15-heptacyclopentyloctasilsesquioxane
Identification
Name 1-Chloro-3,5,7,9,11,13,15-heptacyclopentyloctasilsesquioxane
Molecular Structure CAS # 216972-57-5, 1-Chloro-3,5,7,9,11,13,15-heptacyclopentyloctasilsesquioxane
Molecular Formula C35H63ClO12Si8
Molecular Weight 936.00
CAS Registry Number 216972-57-5
Properties
Density 1.26±0.1 g/cm3 (20 ºC 760 Torr), Calc.*
* Calculated using Advanced Chemistry Development (ACD/Labs) Software V11.02 (©1994-2015 ACD/Labs)
Market Analysis Reports
List of Reports Available for 1-Chloro-3,5,7,9,11,13,15-heptacyclopentyloctasilsesquioxane
Related Products
9-Chloro-2-(2-furanyl)[1,2,4]triazolo[1,5-c]quinazolin-5-amine  2-Chloro-N-furfurylacetamide  4-Chlorofuro[3,2-c]pyridine  4-Chlorofuro[3,4-c]pyridin-3(1H)-one  4-Chlorofuro[2,3-d]pyrimidine  Chlorogenic acid  Chlorogenic acid hemihydrate  6-Chloro-9-beta-D-glucopyranosyl-9H-purine  6-Chlorogramine  5-Chlorogramine  2-Chloroheptafluoropropane  1-Chloroheptane  (±)-2-Chloroheptane  7-Chloro-1-heptanol  7-Chloro-1-heptene  6-Chloro-N2-heptyl-1,3,5-triazine-2,4-diamine  1-Chlorohexadecane  2-[2-[2-Chloro-3-[2-(1-hexadecyl-1,3-dihydro-3,3-dimethyl-2H-indol-2-ylidene)ethylidene]-1-cyclohexen-1-yl]ethenyl]-1-hexadecyl-3,3-dimethyl-3H-indolium bromide  Chloroform  Chloroformamidine hydrochloride