Online Database of Chemicals from Around the World

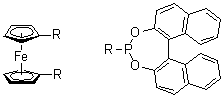
1,1'-双[(11bR)-二萘并[2,1-d:1',2'-f][1,3,2]二氧杂磷杂卓-4-基]二茂铁
[CAS# 217175-10-5]

基本信息
英文名 1,1'-Bis[(11bR)-dinaphtho[2,1-d:1',2'-f][1,3,2]dioxaphosphepin-4-yl]ferrocene
产品名称 1,1'-双[(11bR)-二萘并[2,1-d:1',2'-f][1,3,2]二氧杂磷杂卓-4-基]二茂铁
分子结构 CAS 登录号:217175-10-5, 1,1'-双[(11bR)-二萘并[2,1-d:1',2'-f][1,3,2]二氧杂磷杂卓-4-基]二茂铁
分子式 C50H32FeO4P2
分子量 814.58
CAS 登录号 217175-10-5
市场分析报告
请浏览1,1'-双[(11bR)-二萘并[2,1-d:1',2'-f][1,3,2]二氧杂磷杂卓-4-基]二茂铁市场分析报告总目录
相关产品
2-[2,4-双(1,1-二甲基丙基)苯氧基]-N-[4-[4,5-二氢-5-氧代-4-[(1-苯基-1H-四唑-5-基)硫]-3-吡咯烷基]-1H-吡咯-1-基]苯基丁酰胺  N-[5-[[4-[2,4-双(叔戊基)苯氧)]-1-氧代丁基]氨基]-2-氯苯基]-4,4-二甲基-3-氧代-2-[4-[[4-(苯甲氧基)苯基]磺基]苯氧基]戊酰胺  3,6-二(3,5-二甲基-1H-吡唑-1-基)-1,2,4,5-四嗪  二[9,9-二甲基-2-(2-喹啉基)-9H-芴-3-基](2,4-戊二酮)铱  1,2-二(二甲基硅烷基)苯  1,4-二(二甲基硅烷基)苯  4,4'-二(二甲基硅烷基)二苯基醚  3,5-双(二甲基硅氧基)-1,1,7,7-四甲基-3,5-二苯基四硅氧烷  一硫化四甲基秋兰姆  3,4-二(2,5-二甲基噻吩-3-基)-2,5-二氢噻吩  9,9-二[4-[二(萘-2-基)氨基]苯基]芴  N4,N4'-二(2,7-二硝基-9H-芴-9-亚基)-[1,1'-联苯]-4,4'-二胺  双(2,4-二硝基苯基)草酸酯  双[P,P-支链和直链二辛基二磷酸基(2-)-kappaO'',kappaO''''][1,2-乙烷二醇(2-)-kappaO1,kappaO2]钛酸酯和 N-[3-(二甲基氨基)丙基]-2-甲基-2-丙烯酰胺的化合物  2,7-二(1,3,2-二氧硼杂环己烷-2-基)-9,9-二辛基-9H-芴  2,5-双[(乙酰乙酰)氨基]苯磺酸  N,N-双[2-(2,6-二氧代-4-吗啉基)乙基]-甘氨酸  meso-2,3-双(3,5-二氧代哌嗪-1-基)丁烷  (3R,8R)-3,8-二[[(2,5-二氧代-1-吡咯烷基)氧基]羰基]-12-(9H-芴-9-基)-10-氧代-11-氧杂-5,6-二硫杂-2,9-二氮杂十二烷酸芴甲基酯  1,2-双(二五氟苯基膦基)乙烷