Online Database of Chemicals from Around the World

L-Valyl-L-alanyl-L-alpha-glutamyl-L-leucyl-L-valyl-L-histidyl-L-phenylalanyl-L-leucyl-L-leucine
[CAS# 220111-11-5]

Identification
Classification Biochemical >> Peptide
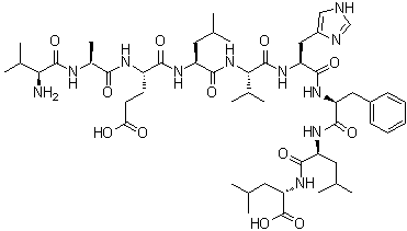
Name L-Valyl-L-alanyl-L-alpha-glutamyl-L-leucyl-L-valyl-L-histidyl-L-phenylalanyl-L-leucyl-L-leucine
Molecular Structure CAS # 220111-11-5, L-Valyl-L-alanyl-L-alpha-glutamyl-L-leucyl-L-valyl-L-histidyl-L-phenylalanyl-L-leucyl-L-leucine
Protein Sequence 1-9 VAELVHFLL
[9-E-OH;]
Molecular Formula C51H81N11O12
Molecular Weight 1040.26
CAS Registry Number 220111-11-5
Properties
Solubility Very slightly soluble (0.32 g/L) (25 ºC), Calc.*
Density 1.208±0.06 g/cm3 (20 ºC 760 Torr), Calc.*
* Calculated using Advanced Chemistry Development (ACD/Labs) Software V11.02 (©1994-2016 ACD/Labs)
Market Analysis Reports
List of Reports Available for L-Valyl-L-alanyl-L-alpha-glutamyl-L-leucyl-L-valyl-L-histidyl-L-phenylalanyl-L-leucyl-L-leucine
Related Products
Valsartan methyl ester  Valsartan n-propyl  Valspodar  Valtorcitabine  Valtorcitabine dihydrochloride  Valtrate  Valtrate HD  Valtrate J  Valtropine  L-Valyl-L-alanine  L-Valyl-L-alanyl-L-prolyl-L-seryl-L-alpha-aspartyl-L-seryl-L-isoleucyl-L-glutaminyl-L-alanyl-L-alpha-glutamyl-L-alpha-glutamyl-L-tryptophyl-L-tyrosyl-L-phenylalanylglycyl-L-lysyl-L-isoleucyl-L-threonyl-L-arginyl-L-arginyl-L-glutamic acid  L-Valine  Valine  8-L-Valineadrenorphin (human)  26-L-valine-29-L-asparagine-31-L-serine-alpha1-39-Corticotropin (swine)  D-Valine benzyl ester 4-methylbenzenesulfonate  L-Valine benzyl ester hydrochloride  L-Valine benzyl ester 4-toluenesulfonate  L-Valine N-carboxyanhydride  L-Valine 5'-ester with 3-(2-deoxy-beta-D-erythro-pentofuranosyl)-6-(4-pentylphenyl)furo[2,3-d]pyrimidin-2(3H)-one