Online Database of Chemicals from Around the World

八(异丁基倍半硅氧烷)
[CAS# 221326-46-1]

供应商目录
Alfa Chemistry 美国 询价快递  
+1 (201) 478-8534
inquiry@alfa-chemistry.com
化学品供销商 (2012年起)
chemBlink 标准供应商 (2012年起)
八(异丁基倍半硅氧烷)供应商总目录
基本信息
英文名 Octa(isobutylsilsesquioxane)
别名 MS 0825; Molecular Silicas MS 0825; Octa(isobutylsilsesquioxane); Octa-iBuPOSS; OctaIsobutyl-POSS
产品名称 八(异丁基倍半硅氧烷)
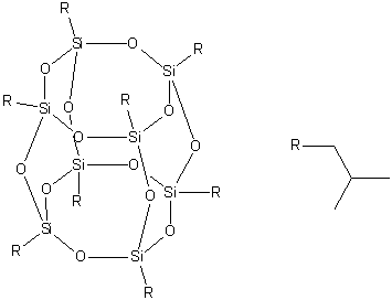
分子结构 CAS 登录号:221326-46-1, 八(异丁基倍半硅氧烷)
分子式 C32H72O12Si8
分子量 873.59
CAS 登录号 221326-46-1
物理化学性质
密度 1.07±0.1 g/cm3 (20 ºC 760 torr), 计算值*
* 使用计算软件 Advanced Chemistry Development (ACD/Labs) V11.02 (©1994-2015 ACD/Labs)
市场分析报告
请浏览八(异丁基倍半硅氧烷)市场分析报告总目录
相关产品
(4aR-反式)-八氢-2(1H)-喹喔啉酮  (4aS,8aS)-八氢-2(1H)-喹喔啉酮  八氢螺[环丙烷-1,3'-[1,2]甲桥二环丙烯并[cd,gh]戊搭烯]  4-[八氢-3-(1,2,3,4-四氢-2,4-二氧代-5-嘧啶基)咪唑并[1,5-a]吡嗪-2-基]苯甲酸乙酯  1-(八氢-3,6,8,8-四甲基-1H-3a,7-甲桥薁基)乙酮二去氢衍生物  八氢-7,7,8,8-四甲基-2,3b-甲桥-3bH-环戊二烯并[1,3]环丙烯并[1,2]苯-4-甲醇甲酸酯  1,2,3,4,4a,5,8,8a-八氢-2,2,6,8-四甲基-1-萘酚  1a,2,3,4,5b,11,11a,11b-八氢-10,11,11a-三羟基-3-甲基-苯并[3,4]蒽并[1,2-b]环氧乙烯-5,6-二酮  1,2,3,4,4a,5,6,7-八氢-2,5,5-三甲基-2-萘酚  2,3,4,5,6,7,8,9-八氢-1H-三茚  1,3,5,7,9,11,13,15-八(3-氨基苯基)八倍半硅氧烷  八(苯胺基)八(苯硫基)酞菁氧钒  八-(6-溴-6-脱氧)-gamma-环糊精  八[2-(氯二甲基硅烷基)乙基]八倍半硅氧烷  二甲基硅烷基笼形聚倍半硅氧烷  2,3,9,10,16,17,23,24-八(辛氧基)-29H,31H-酞菁  三甲基硅烷基笼形聚倍半硅氧烷  八甲基环四硅氮烷  1,2,3,4,5,6,7,8-八甲基环四硅氮烷  八甲基环四硅氧烷