Online Database of Chemicals from Around the World

1,3,5,7,9,11,13-七环戊基-15-乙烯基-八倍半硅氧烷
[CAS# 230316-02-6]

供应商目录
Alfa Chemistry 美国 询价快递  
+1 (201) 478-8534
inquiry@alfa-chemistry.com
化学品供销商 (2012年起)
chemBlink 标准供应商 (2012年起)
1,3,5,7,9,11,13-七环戊基-15-乙烯基-八倍半硅氧烷供应商总目录
基本信息
英文名 1,3,5,7,9,11,13-Heptacyclopentyl-15-ethenyl-octasilsesquioxane
产品名称 1,3,5,7,9,11,13-七环戊基-15-乙烯基-八倍半硅氧烷
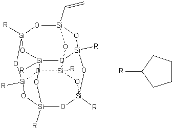
分子结构 CAS 登录号:230316-02-6, 1,3,5,7,9,11,13-七环戊基-15-乙烯基-八倍半硅氧烷
分子式 C37H66O12Si8
分子量 927.60
CAS 登录号 230316-02-6
物理化学性质
密度 1.22±0.1 g/cm3 (20 ºC 760 torr), 计算值*
* 使用计算软件 Advanced Chemistry Development (ACD/Labs) V11.02 (©1994-2015 ACD/Labs)
市场分析报告
请浏览1,3,5,7,9,11,13-七环戊基-15-乙烯基-八倍半硅氧烷市场分析报告总目录
相关产品
1,6-庚二炔  七聚乙二醇单苄基醚  七甘醇单甲醚  环氧七氯  2,2',3,3',4,4',5-七氯-1,1'-联苯  2,2',3,3',4,5,6'-七氯-1,1'-联苯  2,2',3,4,4',5,5'-七氯-1,1'-联苯  (7Z,11Z)-7,11-二十七碳二烯  二十七烷酸  二十七烷酸甲酯  (3R,10S)-1,8-十七碳二烯-4,6-二炔-3,10-二醇  (9Z)-1,9-十七碳二烯-4,6-二炔-3-醇  2-(8,11-十七碳二烯-1-基)-6-羟基苯甲酸  3,3,4,4,5,5,6,6,7,7,8,8,9,9,10,10,10-十七氟-1-癸醇磷酸二氢酯  1H,1H,2H,2H-全氟癸基丙烯酸酯  十七氟癸基三丙氧基硅烷  十七氟癸基三异丙氧基硅烷  1,1,1,2,2,3,3,4,4,5,5,6,6,7,7,8,8-十七氟-10-碘庚烷  1,1,2,2,3,3,4,4,5,5,6,6,7,7,8,8,8-十七氟-1-辛烷磺酸二乙醇胺盐  全氟辛基磺酸四乙基铵