Online Database of Chemicals from Around the World

舒更葡糖硫代乳酸杂质2八钠盐
[CAS# 2412952-94-2]

供应商目录
合肥孚亚生物技术有限公司 中国 询价快递  
+86 (551) 6288-8437
+86 18096409024
info@purerechem.com
QQ 交谈
Skype 聊天
微信交流: 18856022585
化学品生产商 (2018年起)
舒更葡糖硫代乳酸杂质2八钠盐供应商总目录
基本信息
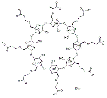
英文名 Sugammadex Thiolactic Acid Impurity 2 Octasodium Salt
别名 Sugammadex Impurity 22;octasodium 3-[[(1S,3S,5S,6S,8S,10S,11S,13S,15S,16S,18S,20S,21S,23S,25S,26S,28S,30S,31S,33S,35S,36S,38S,40S,41R,42R,43R,45R,46R,47R,48R,49R,50R,51R,52R,53R,54R,55R,56R)-10,15,20,25,30,35,40-heptakis(2-carboxylatoethylsulfanylmethyl)-41,42,43,44,45,46,47,48,49,50,51,52,53,54,55,56-hexadecahydroxy-2,4,7,9,12,14,17,19,22,24,27,29,32,34,37,39-hexadecaoxanonacyclo[36.2.2.23,6.28,11.213,16.218,21.223,26.228,31.233,36]hexapentacontan-5-yl]methylsulfanyl]propanoate
产品名称 舒更葡糖硫代乳酸杂质2八钠盐
分子结构 CAS 登录号:2412952-94-2, 舒更葡糖硫代乳酸杂质2八钠盐
分子式 C72H104O48S8 .8Na
分子量 2178.01
CAS 登录号 2412952-94-2
市场分析报告
请浏览舒更葡糖硫代乳酸杂质2八钠盐市场分析报告总目录
相关产品
苏丹-1  溶剂红 25  苏丹红 7B  舒更葡糖非对映体1亚砜钠  舒更葡糖杂质06  舒更葡糖硫代乳酸杂质1八钠盐  舒更葡糖杂质9八钠盐  舒更葡糖单羟基杂质(7钠盐)  舒更葡糖钠杂质11  舒更葡糖钠杂质12  舒芬太尼  柠檬酸舒芬太尼  O-琥珀酰亚胺-1,3-二甲基丙基脲四氟硼酸盐  4-甲酰基苯甲酸琥珀酰亚胺基酯  6-肼基烟酸琥珀酰亚胺酯盐酸盐  琥珀酰亚胺基-6-[(碘乙酰基)氨基]己酸酯  马来酰亚胺基乙酸琥珀酰亚胺酯  6-(马来酰亚胺基)己酸琥珀酰亚胺酯  4-(N-马来酰亚胺基甲基)环己烷-1-羧酸琥珀酰亚胺酯  4-(4-马来酰亚胺基苯基)丁酸琥珀酰亚胺酯