Online Database of Chemicals from Around the World

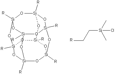
Octakis[2-(chlorodimethylsilyl)ethyl]octasilsesquioxane
[CAS# 243146-51-2]

List of Suppliers
Alfa Chemistry USA Inquire  
+1 (201) 478-8534
inquiry@alfa-chemistry.com
Chemical distributor since 2012
chemBlink standard supplier since 2012
Complete supplier list of Octakis[2-(chlorodimethylsilyl)ethyl]octasilsesquioxane
Identification
Name Octakis[2-(chlorodimethylsilyl)ethyl]octasilsesquioxane
Molecular Structure CAS # 243146-51-2, Octakis[2-(chlorodimethylsilyl)ethyl]octasilsesquioxane
Molecular Formula C32H80Cl8O12Si16
Molecular Weight 1389.96
CAS Registry Number 243146-51-2
Properties
Density 1.17±0.1 g/cm3 (20 ºC 760 Torr), Calc.*
* Calculated using Advanced Chemistry Development (ACD/Labs) Software V11.02 (©1994-2015 ACD/Labs)
Market Analysis Reports
List of Reports Available for Octakis[2-(chlorodimethylsilyl)ethyl]octasilsesquioxane
Related Products
1-(Octahydro-3,6,8,8-tetramethyl-1H-3a,7-methanoazulenyl)ethanone didehydro deriv.  Octahydro-7,7,8,8-tetramethyl-2,3b-methano-3bH-cyclopenta[1,3]cyclopropa[1,2]benzene-4-methanol formate  1,2,3,4,4a,5,8,8a-Octahydro-2,2,6,8-tetramethyl-1-naphthalenol  1a,2,3,4,5b,11,11a,11b-Octahydro-10,11,11a-trihydroxy-3-methyl-benz[3,4]anthra[1,2-b]oxirene-5,6-dione  1,2,3,4,4a,5,6,7-Octahydro-2,5,5-trimethyl-2-naphthol  2,3,4,5,6,7,8,9-Octahydro-1H-trindene  Octa(isobutylsilsesquioxane)  1,3,5,7,9,11,13,15-Octakis(3-aminophenyl)octasilsesquioxane  Octakis(anilino)octakis(phenylthio)vanadyl phthalocyanine  Octakis-(6-bromo-6-deoxy)-gamma-cyclodextrin  Octakis(dimethylsiloxy)-T8-silsequioxane  2,3,9,10,16,17,23,24-Octakis(octyloxy)-29H,31H-phthalocyanine  Octakis(trimethylsiloxy)silsesquioxane  Octamethylcyclotetrasilazane  1,2,3,4,5,6,7,8-Octamethylcyclotetrasilazane  Octamethylcyclotetrasiloxane  2,6,10,14,19,23,27,31-Octamethyldotriacontane  Octamethylgermanetetramine  1,1',2,2',3,3',4,4'-Octamethylmanganocene  Octamethylpyrophosphoric acid tetramide