Online Database of Chemicals from Around the World

Neoagarooctaose
[CAS# 25023-94-3]

List of Suppliers
Qingdao Bz Oligo Biotech Co., Ltd. China Inquire  
+86 (532) 8192-6227
ann@marine-oligo.com
Chemical manufacturer since 2010
chemBlink standard supplier since 2016
Complete supplier list of Neoagarooctaose
Identification
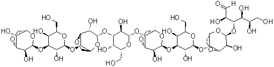
Name Neoagarooctaose
Synonyms D-O-3,6-Anhydro-alpha-L-galactopyranosyl-(1→3)-O-beta-D-galactopyranosyl-(1→4)-O-3,6-anhydro-alpha-L-galactopyranosyl-(1→3)-O-beta-D-galactopyranosyl-(1→4)-O-3,6-anhydro-alpha-L-galactopyranosyl-(1→3)-O-beta-D-galactopyranosyl-(1→4)-O-3,6-anhydro-alpha-L-galactopyranosyl-(1→3)-galactose
Molecular Structure CAS # 25023-94-3, Neoagarooctaose, D-O-3,6-Anhydro-alpha-L-galactopyranosyl-(1→3)-O-beta-D-galactopyranosyl-(1→4)-O-3,6-anhydro-alpha-L-galactopyranosyl-(1→3)-O-beta-D-galactopyranosyl-(1→4)-O-3,6-anhydro-alpha-L-galactopyranosyl-(1→3)-O-beta-D-galactopyranosyl-(1→4)-O-3,6-anhydro-alpha-L-galactopyranosyl-(1→3)-galactose
Molecular Formula C48H74O37
Molecular Weight 1243.08
CAS Registry Number 25023-94-3
Properties
Solubility Slightly soluble (1.5 g/L) (25 ºC), Calc.*
Density 1.84±0.1 g/cm3 (20 ºC 760 Torr), Calc.*
* Calculated using Advanced Chemistry Development (ACD/Labs) Software V11.02 (©1994-2016 ACD/Labs)
Market Analysis Reports
List of Reports Available for Neoagarooctaose
Related Products
Neodymium(III) nitrate hydrate  Neodymium nitride  Neodymium oxide  Neodymium tribromide  Nemoralisin C  Nemorubicin  Neoabietic acid  Neoagarobiose  Neoagarohexaitol  Neoagarohexaose  Neoagarotetraose  Neoandrographolide  Neoarsphenamine  Neobavaisoflavone  Neobellieria bullata trypsin modulating oostatic factor  Neobritannilactone B  Neobyakangelicol  Neocaesalpin L  Neocaesalpin O  Neocarzinostatin, N,N'-bis(1,4-dioxo-1,4-butanediyl) deriv.