| BOC Sciences | 美国 | 询价快递 | ||
|---|---|---|---|---|
![]() |
+1 (631) 485-4226 | |||
![]() |
info@bocsci.com | |||
| 化学品生产商 | ||||
| chemBlink 标准供应商 (2010年起) | ||||
| Alfa Chemistry | 美国 | 询价快递 | ||
|---|---|---|---|---|
![]() |
+1 (201) 478-8534 | |||
![]() |
inquiry@alfa-chemistry.com | |||
| 化学品供销商 (2012年起) | ||||
| chemBlink 标准供应商 (2012年起) | ||||
| Alsachim SAS | 法国 | 询价快递 | ||
|---|---|---|---|---|
![]() |
+33 (0) 390 402 200 | |||
![]() |
contact@alsachim.com | |||
| 化学品生产商 | ||||
| Symeres | 荷兰 | 询价快递 | ||
|---|---|---|---|---|
![]() |
+31 (50) 575-7272 | |||
![]() |
info@Symeres.com | |||
| 化学品生产商 | ||||
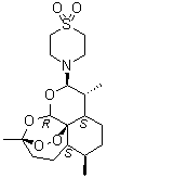
| 英文名 | Artemisone |
|---|---|
| 别名 | 10alpha-[4'-(S,S-Dioxothiomorpholin-1'-yl)]-10-deoxodihydroartemisinin; Artemifone; BAY 44-9585 |
| 产品名称 | 青蒿酮 |
| 分子结构 | ![]() |
| 分子式 | C19H31NO6S |
| 分子量 | 401.52 |
| CAS 登录号 | 255730-18-8 |
| 密度 | 1.33±0.1 g/cm3 (20 ºC 760 torr), 计算值* |
|---|---|
| * | 使用计算软件 Advanced Chemistry Development (ACD/Labs) V11.02 (©1994-2015 ACD/Labs) |
| 市场分析报告 |
| 请浏览青蒿酮市场分析报告总目录 |