Online Database of Chemicals from Around the World

4-Pentenyl O-6-deoxy-alpha-L-galactopyranosyl-(1→2)-O-beta-D-galactopyranosyl-(1→3)-O-2-(acetylamino)-2-deoxy-beta-D-galactopyranosyl-(1→3)-O-alpha-D-galactopyranosyl-(1→4)-O-beta-D-galactopyranosyl-(1→4)-beta-D-glucopyranoside
[CAS# 284663-02-1]

Identification
Name 4-Pentenyl O-6-deoxy-alpha-L-galactopyranosyl-(1→2)-O-beta-D-galactopyranosyl-(1→3)-O-2-(acetylamino)-2-deoxy-beta-D-galactopyranosyl-(1→3)-O-alpha-D-galactopyranosyl-(1→4)-O-beta-D-galactopyranosyl-(1→4)-beta-D-glucopyranoside
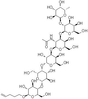
Molecular Structure CAS # 284663-02-1, 4-Pentenyl O-6-deoxy-alpha-L-galactopyranosyl-(1→2)-O-beta-D-galactopyranosyl-(1→3)-O-2-(acetylamino)-2-deoxy-beta-D-galactopyranosyl-(1→3)-O-alpha-D-galactopyranosyl-(1→4)-O-beta-D-galactopyranosyl-(1→4)-beta-D-glucopyranoside
Molecular Formula C43H73NO30
Molecular Weight 1084.03
CAS Registry Number 284663-02-1
Properties
Solubility Soluble (51 g/L) (25 ºC), Calc.*
Density 1.65±0.1 g/cm3 (20 ºC 760 Torr), Calc.*
* Calculated using Advanced Chemistry Development (ACD/Labs) Software V11.02 (©1994-2016 ACD/Labs)
Market Analysis Reports
List of Reports Available for 4-Pentenyl O-6-deoxy-alpha-L-galactopyranosyl-(1→2)-O-beta-D-galactopyranosyl-(1→3)-O-2-(acetylamino)-2-deoxy-beta-D-galactopyranosyl-(1→3)-O-alpha-D-galactopyranosyl-(1→4)-O-beta-D-galactopyranosyl-(1→4)-beta-D-glucopyranoside
Related Products
(S)-(+)-4-Penten-2-ol  1-Penten-3-ol isobutyrate  3-Penten-2-one  1-Penten-3-one  4-Penten-2-one  4-Pentenoyl chloride  4-Pent-1-enylbenzoic acid  (E)-4-(3-Pentenyl)benzoic acid 4-cyano-3,5-difluorophenyl ester  1-Penten-1-ylboronic acid  2-[(Z)-2-Pentenyl]cyclopenten-1-one  2-(2-Pentenyl)furan  Pent-4-enyl-D-glucopyranoside  4-Pentenyl isothiocyanate  (trans,trans)-4-[(3E)-3-Penten-1-yl]-4'-propyl-1,1'-bicyclohexyl  (3E)-3-Penten-1-yne  Pentetrazol  Pentetreotide  Penthiopyrad  Pentobarbital sodium  Pentobarbitone