Online Database of Chemicals from Around the World

Dihydroginsenoside Rg3
[CAS# 30010-01-6]

List of Suppliers
CAS: 30010-01-6
Product: Dihydroginsenoside Rg3
No suppilers available.
Identification
Name Dihydroginsenoside Rg3
Synonyms (3beta,12beta)-12,20-Dihydroxydammaran-3-yl 2-O-beta-D-glucopyranosyl-beta-D-glucopyranoside; 24,25-Dihydroginsenoside Rg3; 2H-Ginsenoside Rg3
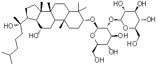
Molecular Structure CAS # 30010-01-6, Dihydroginsenoside Rg3, (3beta,12beta)-12,20-Dihydroxydammaran-3-yl 2-O-beta-D-glucopyranosyl-beta-D-glucopyranoside, 24,25-Dihydroginsenoside Rg3, 2H-Ginsenoside Rg3
Molecular Formula C42H74O13
Molecular Weight 787.03
CAS Registry Number 30010-01-6
Properties
Solubility Insoluble (9.4E-5 g/L) (25 ºC), Calc.*
Density 1.29±0.1 g/cm3 (20 ºC 760 Torr), Calc.*
* Calculated using Advanced Chemistry Development (ACD/Labs) Software V11.02 (©1994-2017 ACD/Labs)
Market Analysis Reports
List of Reports Available for Dihydroginsenoside Rg3
Related Products
4,7-Dihydrofuro[2,3-c]pyridine-6(5H)-carboxylic acid 1,1-dimethylethyl ester  2,3-Dihydro-furo[3,2-b]pyridine 4-oxide  2,3-Dihydro-5-furylboronic acid pinacol ester  Dihydrogalanthamine  Dihydrogenated tallow phthalic acid amide  Dihydrogen [5-Chloro-3-[[4,5-dihydro-3-methyl-5-oxo-1-(3-sulfophenyl)-1H-pyrazol-4-yl]azo]-2-hydroxybenzenesulfonato]chromate  Dihydrogen [2,4-diamino-5-[(2-hydroxy-5-nitrophenyl)azo]benzenesulfonato][1-[(2-hydroxy-4-nitrophenyl)azo]-2-naphthalenolato]chromate  Dihydrogen [2-[[4,5-dihydro-3-methyl-1-(2-methyl-4-sulfophenyl)-5-oxo-1H-pyrazol-4-yl]azo]-4-sulfobenzoato]chromate  Dihydrogen [mu-[[3,3'-[(3,3'-dihydroxy[1,1'-biphenyl]-4,4'-diyl)bis(azo)]bis[4-hydroxy-7-(benzoylamino)-2-naphthalenesulfonato]](6-)]]dicuprate  Dihydrogen hexahydroxyplatinate  Dihydroguaiaretic acid  11,13-Dihydrohelenalin methacrylate  9,10-Dihydro-N2,N2,N6,N6,N14,N14-hexaphenyl-9,10[1',2']-benzenoanthracene-2,6,14-triamine  2,3-Dihydrohinokiflavone  2,7-Dihydrohomoerysotrine  4,5-Dihydro-2-hydrazino-1H-imidazole hydrobromide  1,3-Dihydro-5-hydroxy-2H-benzimidazol-2-one  3-(2,3-Dihydro-7-hydroxy-1,4-benzodioxin-6-yl)-1,3-dihydro-2H-indol-2-one  2,3-Dihydrobenzofuran-5-ol  2,3-Dihydro-alpha-hydroxy-5-benzofuranacetic acid