Online Database of Chemicals from Around the World

三乙醇胺半磷酸盐
[CAS# 32154-53-3]

供应商目录
Alfa Chemistry 美国 询价快递  
+1 (201) 478-8534
inquiry@alfa-chemistry.com
化学品供销商 (2012年起)
chemBlink 标准供应商 (2012年起)
三乙醇胺半磷酸盐供应商总目录
基本信息
英文名 Triethanolamine phosphate (2:1)
产品名称 三乙醇胺半磷酸盐
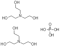
分子结构 CAS 登录号:32154-53-3, 三乙醇胺半磷酸盐
分子式 (C6H15NO3)2.H3PO4
分子量 396.37
CAS 登录号 32154-53-3
EC 号码 250-935-5
安全数据
危害分类
up    说明
危害分类类别码危害标签
眼刺激Eye Irrit.2H319
皮肤刺激Skin Irrit.2H315
市场分析报告
请浏览三乙醇胺半磷酸盐市场分析报告总目录
相关产品
三十二烷基甲基氯化铵  三月桂基亚磷酸酯  三乙醇胺  三乙醇胺 2,5-二[(1,3-二氧代丁基)氨基]苯磺酸盐  三乙醇胺硼酸酯  三乙醇胺硼酸酯  2,4-二氯苯氧乙酸三乙醇胺盐  三乙醇胺二油酸酯  三乙醇胺盐酸盐  月桂醇硫酸酯三乙醇胺盐  三乙醇胺磷酸盐  三乙醇铵油酸盐  草达津  1,2,4-三乙氧基苯  3,3,4,4,5,5,6,6,7,7,8,8,8-十三氟-1-辛醇  1,1,1,2,2,3,3,4,4,5,5,6,6-十三氟-8-(戊氧基)辛烷  1,1,1,2,2,3,3,4,4,5,5,6,6-十三氟-8-(丙氧基)辛烷  十三醛  正十三烷  1,13-十三烷二胺