Online Database of Chemicals from Around the World

(OC-6-11)-三(1,2-乙二胺)钴三[二(N,N-二乙基苯胺)四(硫氰酸基)铬酸盐]
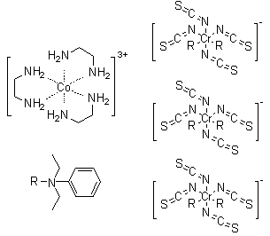
[CAS# 53078-35-6]

基本信息
产品分类 有机原料 >> 氨基化合物 >> 环烷胺、芳香单胺、芳香多胺及其衍生物和盐
英文名 (OC-6-11)-Tris(1,2-ethanediamine-N,N')cobalt tris[bis(N,N-diethylbenzenamine)tetrakis(thiocyanato-N)chromate]
产品名称 (OC-6-11)-三(1,2-乙二胺)钴三[二(N,N-二乙基苯胺)四(硫氰酸基)铬酸盐]
分子结构 CAS 登录号:53078-35-6, (OC-6-11)-三(1,2-乙二胺)钴三[二(N,N-二乙基苯胺)四(硫氰酸基)铬酸盐]
分子式 3(C24H30CrN6S4).C6H24CoN6
分子量 1987.60
CAS 登录号 53078-35-6
市场分析报告
请浏览(OC-6-11)-三(1,2-乙二胺)钴三[二(N,N-二乙基苯胺)四(硫氰酸基)铬酸盐]市场分析报告总目录
相关产品
辛基十二烷基二甲基氯化铵  2-辛基十二烷基 D-吡喃木糖苷  N-正辛基乙二胺  辛基二茂铁  5-辛基-2(5H)-呋喃酮  辛基 alpha-D-吡喃半乳糖苷  (OC-6-22)-三(苯并[h]喹啉-10-基)铱  (OC-6-22)-三[2-[1-[3,5-二异丙基[1,1'-联苯]-4-基]-1H-咪唑-2-基]苯基]铱  (OC-6-11)-三(1,2-乙二胺-N,N')钴 (OC-6-11)-三(1,2-乙二胺-N,N')铑六氯化物  (OC-6-11)-三(1,2-乙二胺)钴三氯化物二水合物  (OC-6-22)-三[5-氟-2-(1-异喹啉基)-4-甲基苯基]铱  (OC-6-11)-三(2,4-戊烷二酮-O,O')镥一水合物  奥克三唑  (OC-6-11)-三(2,4-戊烷二酮-O,O')钬一水合物  N-辛基异噻唑啉酮  正辛基 2-乙酰氨基-3,4,6-O-三乙酰基-2-脱氧-beta-D-吡喃葡萄糖苷  醋酸辛酯  丙烯酸辛基酯  辛基-琼脂糖  N-(辛酰胺基丙基)-N,N-二甲基铵甜菜碱