Online Database of Chemicals from Around the World

Agrimol B
[CAS# 55576-66-4]

List of Suppliers
BOC Sciences USA Inquire  
+1 (631) 485-4226
info@bocsci.com
Chemical manufacturer
chemBlink standard supplier since 2010
Hangzhou Leap Chem Co., Ltd. China Inquire  
+86 (571) 8771-1850
market19@leapchem.com
QQ chat
Chemical manufacturer since 2006
chemBlink standard supplier since 2015
Chengdu Biopurify Phytochemicals Ltd. China Inquire  
+86 (28) 8263-3860
8263-3987
sales@biopurify.com
biopurify@gmail.com
Skype Chat
QQ chat
Chemical manufacturer
chemBlink standard supplier since 2017
Neostar United (Changzhou) Industrial Co., Ltd. China Inquire  
+86 (519) 8555-7386
+86 18015025600
marketing1@neostarunited.com
Chemical distributor since 2014
chemBlink standard supplier since 2020
Complete supplier list of Agrimol B
Identification
Classification Biochemical >> Plant extracts
Name Agrimol B
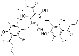
Synonyms (S)-(+)-Agrimol B; (2S)-1-[3,5-Bis[[2,6-dihydroxy-4-methoxy-3-methyl-5-(1-oxobutyl)phenyl]methyl]-2,4,6-trihydroxyphenyl]-2-methyl-1-butanone
Molecular Structure CAS # 55576-66-4, Agrimol B, (S)-(+)-Agrimol B, (2S)-1-[3,5-Bis[[2,6-dihydroxy-4-methoxy-3-methyl-5-(1-oxobutyl)phenyl]methyl]-2,4,6-trihydroxyphenyl]-2-methyl-1-butanone
Molecular Formula C37H46O12
Molecular Weight 682.75
CAS Registry Number 55576-66-4
Properties
Density 1.292
Market Analysis Reports
List of Reports Available for Agrimol B
Related Products
Aglaine B  Aglaine C  Aglaxiflorine D  Aglepristone  Aglinin A  AGM-1470  Agmatine sulfate  Agnuside  Agomelatine  Agria (pesticide)  (-)-Agrimol B  Aflatoxin B1  Aflatoxin B2 alpha  Aflatoxin M2  Aflatoxin G1-13C17  Aflatoxin G2-13C17  Aflatoxin G1  Aflavazole  Aflibercept  Aflibercept