Online Database of Chemicals from Around the World

Rylan Orange R
[CAS# 55809-98-8]

供应商目录
Alfa Chemistry 美国 询价快递  
+1 (201) 478-8534
inquiry@alfa-chemistry.com
化学品供销商 (2012年起)
chemBlink 标准供应商 (2012年起)
Rylan Orange R供应商总目录
基本信息
英文名 Rylan Orange R
产品名称 Rylan Orange R
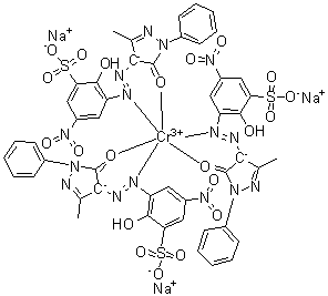
分子结构 CAS 登录号:55809-98-8, Rylan Orange R
分子式 C32H17CrN10O14S2Na3
分子量 950.63
CAS 登录号 55809-98-8
EC 号码 259-830-9
安全数据
危害分类
up    说明
危害分类类别码危害标签
严重眼损伤Eye Dam.1H318
对水生环境长期有害Aquatic Chronic3H412
对水生环境长期有害Aquatic Chronic2H411
眼刺激Eye Irrit.2H319
市场分析报告
请浏览Rylan Orange R市场分析报告总目录
相关产品
二茂钌  Rutiace  芦丁  硫酸芦丁  芦丁三水合物  芦丁酮糖  选择性 JAK1, JAK2 蛋白酪氨酸激酶抑制剂  S-Ruxolitinib  鲁索替尼酰胺  鲁索替尼二胺杂质  红链霉素 6-O-beta-D-龙胆双糖苷  gamma-玉红霉素  beta-玉红霉素  红苋甾酮  甜叶悬钩子苷  Rubymycin  卢非酰胺  芦氟沙星  盐酸芦氟沙星  细皱青霉素 A