Online Database of Chemicals from Around the World

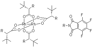
Rh2(S-TFPTTL)4
[CAS# 564450-56-2]

List of Suppliers
CAS: 564450-56-2
Product: Rh2(S-TFPTTL)4
No suppilers available.
Identification
Name Rh2(S-TFPTTL)4
Synonyms Tetrakis[mu-[(alphaS)-alpha-(1,1-dimethylethyl)-4,5,6,7-tetrafluoro-1,3-dihydro-1,3-dioxo-2H-isoindole-2-acetato]]dirhodium
Molecular Structure CAS # 564450-56-2, Rh2(S-TFPTTL)4, Tetrakis[mu-[(alphaS)-alpha-(1,1-dimethylethyl)-4,5,6,7-tetrafluoro-1,3-dihydro-1,3-dioxo-2H-isoindole-2-acetato]]dirhodium
Molecular Formula C56H40F16N4O16Rh2
Molecular Weight 1534.72
CAS Registry Number 564450-56-2
Properties
Melting point >280 ºC (ethyl acetate hexane )*
* Tsutsui, Hideyuki; Tetrahedron: Asymmetry 2003, V14(7), P817-821.
Market Analysis Reports
List of Reports Available for Rh2(S-TFPTTL)4
Related Products
Rhododendrol  (+)-Rhododendrol  Rhodojaponin II  Rhodojaponin III  Rhodojaponin V  Rhoduline acid  Rhoifolin  Rhoplex HA 8  Rhosin  Rh2(S-TCPTTL)4  Rhuscholide A  Rhynchophylline  RI-1  Ribavirin  Ribociclib Impurity 18  Riboflavin-2,4,4a,10a-13C4-1,3-15N2  Riboflavin  Riboflavin 5'-monophosphate sodium salt dihydrate  Riboflavin-5-phosphate sodium  beta-D-Ribofuranose 1-acetate 2,3,5-tribenzoate