Online Database of Chemicals from Around the World

Bacoside A1
[CAS# 58798-94-0]

List of Suppliers
Chengdu Biopurify Phytochemicals Ltd. China Inquire  
+86 (28) 8263-3860
8263-3987
sales@biopurify.com
biopurify@gmail.com
Skype Chat
QQ chat
Chemical manufacturer
chemBlink standard supplier since 2017
Indofine Chemical Company, Inc. USA Inquire  
+1 (888) 463-6346
info@indofinechemical.com
Chemical manufacturer since 1981
Complete supplier list of Bacoside A1
Identification
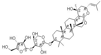
Name Bacoside A1
Molecular Structure CAS # 58798-94-0, Bacoside A1
Molecular Formula C40H64O12
Molecular Weight 736.94
CAS Registry Number 58798-94-0
Properties
Solubility Insoluble (7.4E-3 g/L) (25 ºC), Calc.*
Density 1.33±0.1 g/cm3 (20 ºC 760 Torr), Calc.*
* Calculated using Advanced Chemistry Development (ACD/Labs) Software V11.02 (©1994-2013 ACD/Labs)
Market Analysis Reports
List of Reports Available for Bacoside A1
Related Products
Bacitracin B1a  Baclofen  (R)-Baclofen  (R)-Baclofen lactam  (-)-Bacopasaponin C  Bacopaside I  Bacopaside II  Bacopaside V  Bacopaside VII  Bacoside A2  Bacoside A  Bacoside A3  Bacosin  Bafetinib  Bafilomycin A1  Bafilomycin C1  Baicalein  Baicalein 6-O-beta-D-glucopyranoside  Baicalin  Baicalin hydrate