Online Database of Chemicals from Around the World

1-[1-[2-[4,7,10-三(羧甲基)-1,4,7,10-四氮杂环十二碳-1-基]乙酰基]-L-脯氨酸]-4-L-酪氨酸-蛙皮素
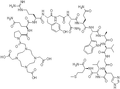
[CAS# 593287-40-2]

基本信息
产品分类 生物化工 >> 多肽
英文名 1-[1-[2-[4,7,10-Tris(carboxymethyl)-1,4,7,10-tetraazacyclododec-1-yl]acetyl]-L-proline]-4-L-tyrosine-bombesin
产品名称 1-[1-[2-[4,7,10-三(羧甲基)-1,4,7,10-四氮杂环十二碳-1-基]乙酰基]-L-脯氨酸]-4-L-酪氨酸-蛙皮素
分子结构 CAS 登录号:593287-40-2, 1-[1-[2-[4,7,10-三(羧甲基)-1,4,7,10-四氮杂环十二碳-1-基]乙酰基]-L-脯氨酸]-4-L-酪氨酸-蛙皮素
分子式 C90H136N28O25S
分子量 2042.28
CAS 登录号 593287-40-2
物理化学性质
密度 1.50±0.1 g/cm3 (20 ºC 760 torr), 计算值*
* 使用计算软件 Advanced Chemistry Development (ACD/Labs) V11.02 (©1994-2016 ACD/Labs)
市场分析报告
请浏览1-[1-[2-[4,7,10-三(羧甲基)-1,4,7,10-四氮杂环十二碳-1-基]乙酰基]-L-脯氨酸]-4-L-酪氨酸-蛙皮素市场分析报告总目录
相关产品
三[4-(二乙氨基)苯基]铵六氟锑酸盐  三(2,2-二氟乙基)磷酸酯  2,4,6-三(3,5-二氟苯基)环硼氧烷  1,3,5-三(4,5-二氢-2-恶唑基)苯  三[1-(2,6-二异丙基苯基)-2-苯基-1H-咪唑]合铱  三(二甲氨基)锑  三(二甲基氨基)苄基鏻四氟硼酸盐  [N-[2-[4,7,10-三[(羧基)甲基]-1,4,7,10-四氮杂环十二碳-1-基]乙酰基]-D-苯丙氨酰-L-半胱氨酰-L-酪氨酰-D-色氨酰-L-赖氨酰-L-苏氨酰-N-[(1R,2R)-2-羟基-1-(羟基甲基)丙基]-L-半胱氨酰胺环(2→7)-二硫醚]镥-177  [N-[[4,7,10-三[(羧基)甲基]-1,4,7,10-四氮杂环十二碳-1-基]乙酰基]-D-苯丙氨酰-L-半胱氨酰-L-酪氨酰-D-色氨酰-L-赖氨酰-L-苏氨酰-N-[(1R,2R)-2-羟基-1-(羟基甲基)丙基]-L-半胱氨酰胺环(2→7)-二硫醚]钇  [N-[[4,7,10-三[(羧基)甲基]-1,4,7,10-四氮杂环十二碳-1-基]乙酰基]-D-苯丙氨酰-L-半胱氨酰-L-酪氨酰-D-色氨酰-L-赖氨酰-L-苏氨酰-N-[(1R,2R)-2-羟基-1-(羟基甲基)丙基]-L-半胱氨酰胺(2→7)-二硫醚]镓  2,4,6-三[(对羧基苯基)氨基]-1,3,5-三嗪  1,3,5-三(4-羧基苯基)苯  1,3,5-三(4-羧基苯基乙炔基)苯  2,4,6-三(4-羧基苯基)-1,3,5-三嗪  磷酸三(1,3-二氯异丙基)酯  原甲酸三氯乙酯  磷酸三(2-氯乙基)酯  三(2-氯乙基)亚磷酸盐  三(4-氯苯基)[2-(1,3-二氢-1,3-二氧代-2H-异吲哚-2-基)乙基]溴化鏻