Online Database of Chemicals from Around the World

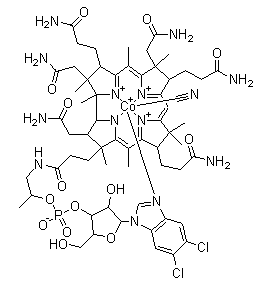
5,6-二氯-5,6-二去甲基维他命 B12
[CAS# 60607-61-6]

供应商目录
Alfa Chemistry 美国 询价快递  
+1 (201) 478-8534
inquiry@alfa-chemistry.com
化学品供销商 (2012年起)
chemBlink 标准供应商 (2012年起)
5,6-二氯-5,6-二去甲基维他命 B12供应商总目录
基本信息
英文名 5,6-Dichloro-5,6-didemethylvitamin B12
别名 Cobinamide, cyanide, dihydrogen phosphate (ester), inner salt, 3'-ester with 5,6-dichloro-1-alpha-D-ribofuranosyl-1H-benzimidazol
产品名称 5,6-二氯-5,6-二去甲基维他命 B12
分子结构 CAS 登录号:60607-61-6, 5,6-二氯-5,6-二去甲基维他命 B12
分子式 C61H82Cl2CoN14O14P
分子量 1396.20
CAS 登录号 60607-61-6
市场分析报告
请浏览5,6-二氯-5,6-二去甲基维他命 B12市场分析报告总目录
相关产品
4,4'-二氯二丁基醚  5,6-二氯-2-[3-[5,6-二氯-1-乙基-1,3-二氢-3-(3-磺基丁基)-2H-苯并咪唑-2-亚基]-1-丙烯基]-1-乙基-3-(3-磺基丁基)-1H-苯并咪唑鎓内盐钠盐  5,6-二氯-2-[3-[5,6-二氯-1-乙基-3-(4-磺基丁基)-2-苯并咪唑啉亚基]丙烯基]-3-乙基-1-(4-磺基丁基)苯并咪唑鎓氢氧化物内盐  5,6-二氯-2-[[5,6-二氯-1-乙基-3-(4-磺酸基丁基)苯并咪唑-2-亚基]]丙烯基]-1-乙基-3-(4-磺酸基丁基)苯并咪唑鎓内盐钠盐  2,4-二氯-3-(二氯甲基)-1-氟-5-(三氯甲基)苯  4,6-二氯-2-(3,5-二氯苯基)-1,3,5-三嗪  2,4-二氯-N-[3,5-二氯-4-(3-喹啉基氧基)苯基]苯磺酰胺  2,3-二氯-5,6-二氰基-1,4-苯醌  5,6-二氯-2,3-二氰基吡嗪  (二聚环戊二烯)二氯化铂(II)  2,2-二氯-1,1-二乙氧基乙烷  反式-3,4-二氯-N-[2-(二乙基氨基)环己基]-N-甲基苯甲酰胺  7,8-二氯-10-[2-(二乙基氨基)乙基]苯并[g]蝶啶-2,4(3H,10H)-二酮单盐酸盐  N-(beta,beta'-二氯二乙基氨基甲基)四环素  8,18-二氯-N-[3-(二乙基氨基)丙基]-5,15-二乙基-5,15-二氢-二吲哚并[3,2-b:3',2'-m]三苯并二恶嗪磺酰胺  二氯乙醚  二氯二乙基硅烷  二乙基二氯化锡  1,5-二氯-2,4-二氟苯  2,6-二氯-1,4-二氟苯