Online Database of Chemicals from Around the World

季戊四醇四异硬脂酸酯
[CAS# 62125-22-8]

供应商目录
Alfa Chemistry 美国 询价快递  
+1 (201) 478-8534
inquiry@alfa-chemistry.com
化学品供销商 (2012年起)
chemBlink 标准供应商 (2012年起)
季戊四醇四异硬脂酸酯供应商总目录
基本信息
英文名 Pentaerythityl tetraisostearate
别名 2,2-Bis[[(1-oxoisooctadecyl)oxy]methyl]-1,3-propanediyl bis(isooctadecanoate); Isooctadecanoic acid 2,2-bis[[(1-oxoisooctadecyl)oxy]methyl]-1,3-propanediyl ester
产品名称 季戊四醇四异硬脂酸酯; 异十八烷酸-2,2-双[[(1-异十八烷基)氧基]甲基]-1,3-丙二酯
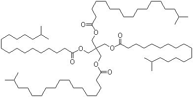
分子结构 CAS 登录号:62125-22-8, 季戊四醇四异硬脂酸酯, 异十八烷酸-2,2-双[[(1-异十八烷基)氧基]甲基]-1,3-丙二酯
分子式 C77H148O8
分子量 1202.02
CAS 登录号 62125-22-8
EC 号码 263-423-1
市场分析报告
请浏览季戊四醇四异硬脂酸酯市场分析报告总目录
相关产品
五氘代溴苯  五氘代吡啶  1,2-戊二烯  1,4-戊二烯  反式-1,3-戊二烯  4,4'-(1,4-戊二烯-1,5-二基)二[2-甲氧基苯酚]  (E)-2,4-戊二烯酸  1,4-戊二烯-3-醇  1,2-戊二烯-4-酮  1,4-戊二炔-3-醇  季戊四醇  季戊四醇缩水甘油醚  季戊四醇松香酸酯  季戊四醇四乙酸酯  季戊四醇四丙烯酸酯  季戊四醇磷酸酯  四(3,5-二叔丁基-4-羟基)苯丙酸季戊四醇酯  季戊四醇四巯基乙酸酯  季戊四醇四(3-巯基丁酸)酯  季戊四醇四(3-巯基丙酸酯)