Online Database of Chemicals from Around the World

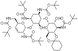
O-4,6-O-环己基亚基-3-脱氧-3-[[(1,1-二甲基乙氧基)羰基]氨基]-α-D-吡喃葡萄糖基-(1→6)-O-[2,3,4,6-四脱氧-2,6-双[[(1,1-二甲基乙氧基)羰基]氨基]-α-D-赤式-己-3-烯并吡喃糖基-(1→4)]-2-脱氧-N1,N3-双[(1,1-二甲基乙氧基)羰基]-D-链霉胺
[CAS# 64271-33-6]

基本信息
英文名 O-4,6-O-Cyclohexylidene-3-deoxy-3-[[(1,1-dimethylethoxy)carbonyl]amino]-alpha-D-glucopyranosyl-(1→6)-O-[2,3,4,6-tetradeoxy-2,6-bis[[(1,1-dimethylethoxy)carbonyl]amino]-alpha-D-erythro-hex-3-enopyranosyl-(1→4)]-2-deoxy-N1,N3-bis[(1,1-dimethylethoxy)carbonyl]-D-streptamine
产品名称 O-4,6-O-环己基亚基-3-脱氧-3-[[(1,1-二甲基乙氧基)羰基]氨基]-α-D-吡喃葡萄糖基-(1→6)-O-[2,3,4,6-四脱氧-2,6-双[[(1,1-二甲基乙氧基)羰基]氨基]-α-D-赤式-己-3-烯并吡喃糖基-(1→4)]-2-脱氧-N1,N3-双[(1,1-二甲基乙氧基)羰基]-D-链霉胺
分子结构 CAS 登录号:64271-33-6, O-4,6-O-环己基亚基-3-脱氧-3-[[(1,1-二甲基乙氧基)羰基]氨基]-α-D-吡喃葡萄糖基-(1→6)-O-[2,3,4,6-四脱氧-2,6-双[[(1,1-二甲基乙氧基)羰基]氨基]-α-D-赤式-己-3-烯并吡喃糖基-(1→4)]-2-脱氧-N1,N3-双[(1,1-二甲基乙氧基)羰基]-D-链霉胺
分子式 C49H83N5O18
分子量 1030.21
CAS 登录号 64271-33-6
物理化学性质
溶解度 极微溶解 (0.14 g/L) (25 ºC), 计算值*
密度 1.26±0.1 g/cm3 (20 ºC 760 torr), 计算值*
* 使用计算软件 Advanced Chemistry Development (ACD/Labs) V11.02 (©1994-2019 ACD/Labs)
市场分析报告
请浏览O-4,6-O-环己基亚基-3-脱氧-3-[[(1,1-二甲基乙氧基)羰基]氨基]-α-D-吡喃葡萄糖基-(1→6)-O-[2,3,4,6-四脱氧-2,6-双[[(1,1-二甲基乙氧基)羰基]氨基]-α-D-赤式-己-3-烯并吡喃糖基-(1→4)]-2-脱氧-N1,N3-双[(1,1-二甲基乙氧基)羰基]-D-链霉胺市场分析报告总目录
相关产品
L-环己基甘氨醇  环己基肼  环己基肼盐酸盐  alpha-环己基-alpha-羟基苯乙酸 4-(乙基氨基)-2-丁炔基酯盐酸盐  alpha-环己基-alpha-羟基苯乙酸 2-丙炔基酯  N-环己基羟胺盐酸盐  4,4'-环己基二[N,N-二(4-甲基苯基)苯胺]  (2E,2'E)-1,1'-环己基亚基二[3-(3,4-二甲氧基苯基)-2-丙烯-1-酮]  1,1'-双(4-羟基-3-甲基苯基)环己烷  1,1'-双(4-羟基苯基)环己烷  D-alpha,beta-环己亚基甘油  2,3-O-环己基亚基-L-来苏糖酸 gamma-内酯  4,4'-环己基亚甲基二苯酚  2,3-O-环己基亚基-D-myo-肌醇  alpha-环己基-5H-咪唑并[5,1-a]异吲哚-5-乙醇  1-(3-二甲氨基丙基)-3-环己基碳二亚胺  4-[[[2-(环己基亚氨基)-4-甲基-3(2H)-噻唑基]亚氨基]甲基]-1,2,3-苯三醇  3-环己基-1H-吲哚  3-环己基-6-吲哚羧酸  异氰酸环己酯