Online Database of Chemicals from Around the World

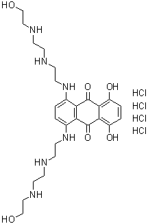
1,4-二羟基-5,8-二[[2-[[2-[(2-羟基乙基)氨基]乙基]氨基]乙基]氨基]-9,10-蒽醌四盐酸盐
[CAS# 70476-91-4]

基本信息
产品分类 有机原料 >> 芳基化合物 >> 蒽及其`衍生物
英文名 1,4-Dihydroxy-5,8-bis[[2-[[2-[(2-hydroxyethyl)amino]ethyl]amino]ethyl]amino]-9,10-anthracenedione tetrahydrochloride
产品名称 1,4-二羟基-5,8-二[[2-[[2-[(2-羟基乙基)氨基]乙基]氨基]乙基]氨基]-9,10-蒽醌四盐酸盐
分子结构 CAS 登录号:70476-91-4, 1,4-二羟基-5,8-二[[2-[[2-[(2-羟基乙基)氨基]乙基]氨基]乙基]氨基]-9,10-蒽醌四盐酸盐
分子式 C26H38N6O6.4(HCl)
分子量 676.47
CAS 登录号 70476-91-4
物理化学性质
熔点 199-202 ºC*
* Murdock, K. C.; Journal of Medicinal Chemistry 1979, V22(9), P1024-30.
市场分析报告
请浏览1,4-二羟基-5,8-二[[2-[[2-[(2-羟基乙基)氨基]乙基]氨基]乙基]氨基]-9,10-蒽醌四盐酸盐市场分析报告总目录
相关产品
6',7'-二羟基佛手素  6',7'-二羟薄荷素  6',7'-二羟薄荷素缩丙酮  4,4'-二羟基-联苯-2-羧酸  n,n'-(6,6'-二羟基联苯-3,3'-二基)二乙酰胺  6,6'-二羟基-3,3'-联吡啶  6,6'-二羟基-2,2'-联吡啶  二(2-羟基丙酸)二氢氧化二铵合钛  (+)-(2R,3R)-2,3-二羟基-N,N'-双(苄基)丁二酰胺  (1S,2S)-N,N'-二羟基-N,N'-二(二苯基乙酰基)环己烷-1,2-二胺  (1R,2R)-N,N'-二羟基-N,N'-双(3,3,3-三苯基丙酰基)-1,2-环己二胺  S,S-(2,3-二羟基-1,4-丁二基)二硫代乙酸酯  5-[(3R)-3,4-二羟基丁基]-2-噻吩羧酸乙酯  D-苏式-2,3-二羟基丁酸  (S)-3,4-二羟基丁酸甲酯  2',4'-二羟基苯丁酮  3alpha,7alpha-二羟基-N-(羧甲基)-5beta-胆烷-24-酰胺  2,3-二羟基-6-氯喹喔啉  (3alpha,5beta,12alpha)-3,12-二羟基胆烷-24-酸单钠盐单水合物  (5beta,7alpha,12alpha)-7,12-二羟基胆-2-烯-24-酸甲酯