Online Database of Chemicals from Around the World

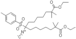
8-Isocyano-2,2,14,14-tetramethyl-8-(4-tolylsulfonyl)pentadecanedioic acid diethyl ester
[CAS# 738606-44-5]

Identification
Name 8-Isocyano-2,2,14,14-tetramethyl-8-(4-tolylsulfonyl)pentadecanedioic acid diethyl ester
Synonyms 8-Isocyano-2,2,14,14-Tetramethyl-8-(p-tosyl)pentadecanedioic acid diethyl ester
Molecular Structure CAS # 738606-44-5, 8-Isocyano-2,2,14,14-tetramethyl-8-(4-tolylsulfonyl)pentadecanedioic acid diethyl ester, 8-Isocyano-2,2,14,14-Tetramethyl-8-(p-tosyl)pentadecanedioic acid diethyl ester
Molecular Formula C31H49NO6S
Molecular Weight 563.79
CAS Registry Number 738606-44-5
EC Number 879-454-4
Safety Data
Hazard Classification
up    Details
HazardClassCategory CodeHazard Statement
Chronic hazardous to the aquatic environmentAquatic Chronic4H413
Market Analysis Reports
List of Reports Available for 8-Isocyano-2,2,14,14-tetramethyl-8-(4-tolylsulfonyl)pentadecanedioic acid diethyl ester
Related Products
2-Isocyano-1,3-dimethylbenzene  4-Isocyano-1,2-dimethylbenzene  (1-Isocyanoethyl)benzene  3-(2-Isocyanoethyl)-1H-indole  1-(2-Isocyanoethyl)-4-methoxybenzene  5-Isocyano-1H-indole  2-Isocyanomethylpridine  1-[(Isocyanomethyl-14C)sulfonyl]-4-methylbenzene  2-Isocyanonaphthalene  4-(3-Isocyanopropyl)morpholine  1-Isocyano-3-(trifluoromethoxy)benzene  Isocyanuric dichloride  Isocyclocitral  (±)-Isocyclopenine  Isocyclosporin A  Isocyclosporin H  Isocytidine triphosphate  Isocytosine  (Isodecanoato-O)(isooctanoato-O)cobalt  (Isodecanoato-O)(isooctanoato-O)iron