Online Database of Chemicals from Around the World

威灵仙皂甙 AR
[CAS# 761425-93-8]

供应商目录
BOC Sciences 美国 询价快递  
+1 (631) 485-4226
info@bocsci.com
化学品生产商
chemBlink 标准供应商 (2010年起)
成都普瑞法科技开发有限公司 中国 询价快递  
+86 (28) 8263-3860
8263-3987
sales@biopurify.com
biopurify@gmail.com
QQ 交谈
Skype 聊天
化学品生产商
chemBlink 标准供应商 (2017年起)
威灵仙皂甙 AR供应商总目录
基本信息
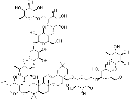
英文名 Clematichinenoside AR
别名 (3beta)-3-[(O-6-Deoxy-alpha-L-mannopyranosyl-(1→6)-O-beta-D-glucopyranosyl-(1→4)-O-beta-D-glucopyranosyl-(1→4)-O-beta-D-ribopyranosyl-(1→3)-O-6-deoxy-alpha-L-mannopyranosyl-(1→2)-alpha-L-arabinopyranosyl)oxy]-olean-12-en-28-oic acid O-6-deoxy-alpha-L-mannopyranosyl-(1→4)-O-beta-D-glucopyranosyl-(1→6)-beta-D-glucopyranosyl ester
产品名称 威灵仙皂甙 AR
分子结构 CAS 登录号:761425-93-8, 威灵仙皂甙 AR
分子式 C82H134O43
分子量 1807.92
CAS 登录号 761425-93-8
物理化学性质
密度 1.58±0.1 g/cm3 (20 ºC 760 torr), 计算值*
* 使用计算软件 Advanced Chemistry Development (ACD/Labs) V11.02 (©1994-2017 ACD/Labs)
市场分析报告
请浏览威灵仙皂甙 AR市场分析报告总目录
相关产品
克拉维酸盐钾 EP 杂质C  克拉维酸  克拉维酸杂质J  250-258-断裂/多聚腺苷酸化特异性因子  氯波必利  氯波必利苹果酸盐  Clemaphenol A  直铁线莲宁 A  直铁线莲宁 B  富马酸氯马斯汀  威灵仙皂甙 C  Clematiunicinoside E  Clematomandshurica saponin B  铁线莲甙 S  克立咪唑  草酸香茅酯乙酯  3,7-二甲基-6-辛烯腈  丙酸香茅酯  惕各酸香茅酯  8-羟基喹啉柠檬酸盐