Online Database of Chemicals from Around the World

Ovine CRF
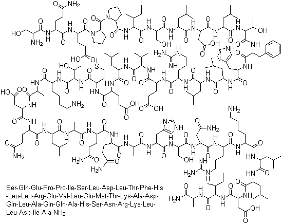
[CAS# 79804-71-0]

List of Suppliers
BOC Sciences USA Inquire  
+1 (631) 485-4226
info@bocsci.com
Chemical manufacturer
chemBlink standard supplier since 2010
Creative Peptides USA Inquire  
+1 (631) 624-4882
info@creative-peptides.com
Chemical manufacturer
chemBlink standard supplier since 2010
Wuxi Asia Peptide Biotechnology Limited Company China Inquire  
+86 (510) 8359-2065
+86 18261568580
info@peptide-search.com
Chemical manufacturer since 2010
chemBlink standard supplier since 2013
Selleck Chemicals LLC USA Inquire  
+1 (713) 535-9129
info@selleckchem.com
Chemical manufacturer
chemBlink standard supplier since 2014
Alsachim SAS France Inquire  
+33 (0) 390 402 200
contact@alsachim.com
Chemical manufacturer
Complete supplier list of Ovine CRF
Identification
Name Ovine CRF
Synonyms Ovine corticotropin-releasing factor
Molecular Structure CAS # 79804-71-0, Ovine CRF, Ovine corticotropin-releasing factor
Molecular Formula C205H339N59O63S
Molecular Weight 4670.31
CAS Registry Number 79804-71-0
Market Analysis Reports
List of Reports Available for Ovine CRF
Related Products
7-Oxa-2-azaspiro[3.5]nonane hemioxalate  2-Oxa-7-azaspiro[3.5]nonane hemioxalate  7-Oxa-2-azaspiro[3.5]nonane hydrochloride  2-Oxa-7-azaspiro[3.5]nonane oxalate  4-Oxa-7-azaspiro[2.5]octane  2-Oxa-5-azaspiro[3.4]octane  OTSSP 167 hydrochloride  Ouabagenin  Ouabain octahydrate  Ovalbumin  Ovokinin  2-Oxa-5-azabicyclo[2.2.1]heptane  7-Oxa-3-azabicyclo[4.1.0]heptane-3-carboxylic acid tert-butyl ester  6-Oxa-3-azabicyclo[3.1.1]heptane hydrochloride  2-Oxa-5-azabicyclo[2.2.1]heptane hydrochloride  (1S,4S)-2-Oxa-5-azabicyclo[2.2.1]heptane hydrochloride  6-Oxa-3-azabicyclo[3.1.1]heptane tosylate  2-Oxa-3-azabicyclo[2.2.1]hept-5-ene-3-carboxylic acid tert-butyl ester  3-Oxa-7-azabicyclo[3.3.1]nonane  3-Oxa-9-azabicyclo[3.3.1]nonan-7-one