Online Database of Chemicals from Around the World

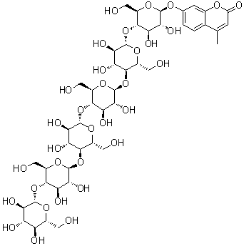
7-[(O-beta-D-Glucopyranosyl-(1→4)-O-beta-D-glucopyranosyl-(1→4)-O-beta-D-glucopyranosyl-(1→4)-O-beta-D-glucopyranosyl-(1→4)-O-beta-D-glucopyranosyl-(1→4)-beta-D-glucopyranosyl)oxy]-4-methyl-2H-1-benzopyran-2-one
[CAS# 84325-21-3]

Identification
Name 7-[(O-beta-D-Glucopyranosyl-(1→4)-O-beta-D-glucopyranosyl-(1→4)-O-beta-D-glucopyranosyl-(1→4)-O-beta-D-glucopyranosyl-(1→4)-O-beta-D-glucopyranosyl-(1→4)-beta-D-glucopyranosyl)oxy]-4-methyl-2H-1-benzopyran-2-one
Molecular Structure CAS # 84325-21-3, 7-[(O-beta-D-Glucopyranosyl-(1→4)-O-beta-D-glucopyranosyl-(1→4)-O-beta-D-glucopyranosyl-(1→4)-O-beta-D-glucopyranosyl-(1→4)-O-beta-D-glucopyranosyl-(1→4)-beta-D-glucopyranosyl)oxy]-4-methyl-2H-1-benzopyran-2-one
Molecular Formula C46H68O33
Molecular Weight 1149.01
CAS Registry Number 84325-21-3
Properties
Solubility Slightly soluble (5.9 g/L) (25 ºC), Calc.*
Density 1.80±0.1 g/cm3 (20 ºC 760 Torr), Calc.*
* Calculated using Advanced Chemistry Development (ACD/Labs) Software V11.02 (©1994-2016 ACD/Labs)
Market Analysis Reports
List of Reports Available for 7-[(O-beta-D-Glucopyranosyl-(1→4)-O-beta-D-glucopyranosyl-(1→4)-O-beta-D-glucopyranosyl-(1→4)-O-beta-D-glucopyranosyl-(1→4)-O-beta-D-glucopyranosyl-(1→4)-beta-D-glucopyranosyl)oxy]-4-methyl-2H-1-benzopyran-2-one
Related Products
4-O-alpha-D-Glucopyranosyl-beta-D-glucopyranosyl azide  1-(4-O-beta-D-Glucopyranosyl-beta-D-glucopyranosyl)cytosine monohydrochloride  6-(2-O-beta-D-Glucopyranosyl-beta-D-glucopyranosyl)-5,7-dihydroxy-2-(4-hydroxy-3-methoxyphenyl)-4H-1-benzopyran-4-one  8-(4-O-beta-D-Glucopyranosyl-beta-D-glucopyranosyl)-5,7-dihydroxy-2-(4-hydroxyphenyl)-4H-1-benzopyran-4-one  4-O-beta-D-Glucopyranosyl-alpha-D-glucopyranosyl fluoride  O-beta-D-Glucopyranosyl-(1→4)-O-beta-D-glucopyranosyl-(1→3)-beta-D-glucopyranose  O-beta-D-Glucopyranosyl-(1→3)-O-beta-D-glucopyranosyl-(1→4)-beta-D-glucopyranose  O-beta-D-Glucopyranosyl-(1→4)-O-beta-D-glucopyranosyl-(1→4)-O-beta-D-glucopyranosyl-(1→4)-1,6-anhydro-beta-D-glucopyranose  alpha-D-Glucopyranosyl O-alpha-D-glucopyranosyl-(1→4)-O-alpha-D-glucopyranosyl-(1→4)-alpha-D-glucopyranoside  O-beta-D-Glucopyranosyl-(1→4)-O-beta-D-glucopyranosyl-(1→4)-O-beta-D-glucopyranosyl-(1→4)-O-beta-D-glucopyranosyl-(1→4)-1,6-anhydro-beta-D-glucopyranose  O-alpha-D-Glucopyranosyl-(1→2)-O-alpha-D-glucopyranosyl-(1→2)-O-alpha-D-glucopyranosyl-(1→2)-O-alpha-D-glucopyranosyl-(1→2)-D-glucose  O-alpha-D-Glucopyranosyl-(1→2)-O-alpha-D-glucopyranosyl-(1→2)-O-alpha-D-glucopyranosyl-(1→2)-D-glucose  O-beta-D-Glucopyranosyl-(1→3)-O-beta-D-glucopyranosyl-(1→4)-O-beta-D-glucopyranosyl-(1→4)-D-glucose  O-beta-D-Glucopyranosyl-(1→4)-O-beta-D-glucopyranosyl-(1→3)-O-beta-D-glucopyranosyl-(1→4)-D-glucose  (4alpha)-13-[(O-beta-D-Glucopyranosyl-(1→2)-O-[beta-D-glucopyranosyl-(1→3)]-beta-D-glucopyranosyl)oxy]-kaur-15-en-18-oic acid beta-D-glucopyranosyl ester  7-[(O-beta-D-Glucopyranosyl-(1→6)-O-beta-D-glucopyranosyl-(1→6)-beta-D-glucopyranosyl)oxy]-4-methyl-2H-1-benzopyran-2-one  7-[(O-beta-D-Glucopyranosyl-(1→4)-O-beta-D-glucopyranosyl-(1→4)-beta-D-glucopyranosyl)oxy]-4-(trifluoromethyl)-2H-1-benzopyran-2-one  O-alpha-D-Glucopyranosyl-(1→2)-O-alpha-D-glucopyranosyl-(1→2)-D-glucose  (2beta,3beta,4alpha)-3-[(4-O-beta-D-Glucopyranosyl-beta-D-glucopyranosyl)oxy]-2,23-dihydroxy-olean-12-en-28-oic acid  (3beta,9beta,10alpha,24R)-24-[(2-O-beta-D-Glucopyranosyl-beta-D-glucopyranosyl)oxy]-3-(beta-D-glucopyranosyloxy)-25-hydroxy-9-methyl-19-norlanost-5-en-11-one