Online Database of Chemicals from Around the World

O-alpha-L-Arabinofuranosyl-(1→3)-O-[beta-D-xylopyranosyl-(1→4)]-O-beta-D-xylopyranosyl-(1→4)-O-beta-D-xylopyranosyl-(1→4)-D-xylose
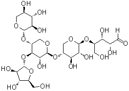
[CAS# 84666-93-3]

Identification
Name O-alpha-L-Arabinofuranosyl-(1→3)-O-[beta-D-xylopyranosyl-(1→4)]-O-beta-D-xylopyranosyl-(1→4)-O-beta-D-xylopyranosyl-(1→4)-D-xylose
Molecular Structure CAS # 84666-93-3, O-alpha-L-Arabinofuranosyl-(1→3)-O-[beta-D-xylopyranosyl-(1→4)]-O-beta-D-xylopyranosyl-(1→4)-O-beta-D-xylopyranosyl-(1→4)-D-xylose
Molecular Formula C25H42O21
Molecular Weight 678.59
CAS Registry Number 84666-93-3
Properties
Solubility Freely soluble (150 g/L) (25 ºC), Calc.*
Density 1.75±0.1 g/cm3 (20 ºC 760 Torr), Calc.*
* Calculated using Advanced Chemistry Development (ACD/Labs) Software V11.02 (©1994-2016 ACD/Labs)
Market Analysis Reports
List of Reports Available for O-alpha-L-Arabinofuranosyl-(1→3)-O-[beta-D-xylopyranosyl-(1→4)]-O-beta-D-xylopyranosyl-(1→4)-O-beta-D-xylopyranosyl-(1→4)-D-xylose
Related Products
Arabic gum  Arabinan  D-Arabinitol  Arabinobiose  1-beta-D-Arabinofuranosyl-5-bromouracil  9-beta-D-Arabinofuranosyl-2,6-diaminopurine  1-beta-D-Arabinofuranosyl-5-fluorouracil  9-beta-D-Arabinofuranosylguanine  1-beta-D-Arabinofuranosyl-5-iodouracil  7-(alpha-L-Arabinofuranosyloxy)-4-methyl-2H-1-benzopyran-2-one  Arabinohexaose  D-arabino-2-Hexulosonic acid  L-arabino-2-Hexulosonic acid  D-arabino-2-Hexulosonic acid calcium salt hydrate (2:1:?)  D-Arabinonic acid calcium salt (2:1)  D-Arabinonic acid gamma-lactone  Arabinopentaose  L-Arabinopyranose  D-Arabinopyranose  L-Arabinopyranose tetraacetate