Online Database of Chemicals from Around the World

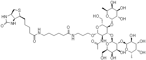
(3aS,4S,6aR)-N-[6-[[3-[[O-6-脱氧-alpha-L-吡喃半乳糖基-(1→2)-O-beta-D-吡喃半乳糖基-(1→3)-O-[6-脱氧-alpha-L-吡喃半乳糖基-(1→4)]-2-(乙酰氨基)-2-脱氧-beta-D-吡喃葡萄糖基]氧基]丙基]氨基]-6-氧代己基]六氢-2-氧代-1H-噻吩并[3,4-d]咪唑-4-戊酰胺
[CAS# 870891-31-9]

基本信息
产品分类 有机原料 >> 杂环化合物 >> 咪唑化合物
英文名 (3aS,4S,6aR)-N-[6-[[3-[[O-6-Deoxy-alpha-L-galactopyranosyl-(1→2)-O-beta-D-galactopyranosyl-(1→3)-O-[6-deoxy-alpha-L-galactopyranosyl-(1→4)]-2-(acetylamino)-2-deoxy-beta-D-glucopyranosyl]oxy]propyl]amino]-6-oxohexyl]hexahydro-2-oxo-1H-thieno[3,4-d]imidazole-4-pentanamide
产品名称 (3aS,4S,6aR)-N-[6-[[3-[[O-6-脱氧-alpha-L-吡喃半乳糖基-(1→2)-O-beta-D-吡喃半乳糖基-(1→3)-O-[6-脱氧-alpha-L-吡喃半乳糖基-(1→4)]-2-(乙酰氨基)-2-脱氧-beta-D-吡喃葡萄糖基]氧基]丙基]氨基]-6-氧代己基]六氢-2-氧代-1H-噻吩并[3,4-d]咪唑-4-戊酰胺
分子结构 CAS 登录号:870891-31-9, (3aS,4S,6aR)-N-[6-[[3-[[O-6-脱氧-alpha-L-吡喃半乳糖基-(1→2)-O-beta-D-吡喃半乳糖基-(1→3)-O-[6-脱氧-alpha-L-吡喃半乳糖基-(1→4)]-2-(乙酰氨基)-2-脱氧-beta-D-吡喃葡萄糖基]氧基]丙基]氨基]-6-氧代己基]六氢-2-氧代-1H-噻吩并[3,4-d]咪唑-4-戊酰胺
分子式 C45H77N5O22S
分子量 1072.18
CAS 登录号 870891-31-9
物理化学性质
溶解度 极微溶解 (0.23 g/L) (25 ºC), 计算值*
密度 1.49±0.1 g/cm3 (20 ºC 760 torr), 计算值*
* 使用计算软件 Advanced Chemistry Development (ACD/Labs) V11.02 (©1994-2016 ACD/Labs)
市场分析报告
请浏览(3aS,4S,6aR)-N-[6-[[3-[[O-6-脱氧-alpha-L-吡喃半乳糖基-(1→2)-O-beta-D-吡喃半乳糖基-(1→3)-O-[6-脱氧-alpha-L-吡喃半乳糖基-(1→4)]-2-(乙酰氨基)-2-脱氧-beta-D-吡喃葡萄糖基]氧基]丙基]氨基]-6-氧代己基]六氢-2-氧代-1H-噻吩并[3,4-d]咪唑-4-戊酰胺市场分析报告总目录
相关产品
2'-脱氧-3'-鸟苷酸二钠盐  2-脱氧-2-己基甘油  5'-脱氧-5'-肼基鸟苷  14-去氧-12-羟基穿心莲内酯  14-去氧基-11-羟基穿心莲内酯  14-去氧基-17-羟基穿心莲内酯  6-Deoxy-9alpha-hydroxycedrodorin  1-脱氧-1-[(2-羟基乙基)(1-氧代壬基)氨基]-D-山梨糖醇  1-脱氧-1-[(2-羟基乙基)(1-氧代辛基)氨基]-D-山梨糖醇  O-6-脱氧-alpha-L-吡喃半乳糖基-(1→2)-O-beta-D-吡喃半乳糖基-(1→4)-O-[6-脱氧-alpha-L-吡喃半乳糖基-(1→3)]-O-2-(乙酰氨基)-2-脱氧-beta-D-吡喃葡萄糖基-(1→3)-O-beta-D-吡喃半乳糖基-(1→4)-D-葡萄糖  (3aS,4S,6aR)-N-[6-[[3-[[O-6-脱氧-alpha-L-吡喃半乳糖基-(1→2)-O-beta-D-吡喃半乳糖基-(1→4)-O-[6-脱氧-alpha-L-吡喃半乳糖基-(1→3)]-2-(乙酰氨基)-2-脱氧-beta-D-吡喃葡萄糖基]氧基]丙基]氨基]-6-氧代己基]六氢-2-氧代-1H-噻吩并[3,4-d]咪唑-4-戊酰胺  O-6-脱氧-alpha-L-吡喃半乳糖基-(1→2)-O-[alpha-D-吡喃半乳糖基-(1→3)]-O-beta-D-吡喃半乳糖基-(1→3)-2-(乙酰氨基)-2-脱氧-D-半乳糖  O-6-脱氧-alpha-L-吡喃半乳糖基-(1→2)-O-[alpha-D-吡喃半乳糖基-(1→3)]-O-beta-D-吡喃半乳糖基-(1→3)-2-(乙酰氨基)-2-脱氧-D-葡萄糖  9-[[O-6-脱氧-alpha-L-吡喃半乳糖基-(1→2)-O-[alpha-D-吡喃半乳糖基-(1→3)]-beta-D-吡喃半乳糖基]氧基]壬酸甲酯  (3aS,4S,6aR)-N-[6-[[3-[(O-6-脱氧-alpha-L-吡喃半乳糖基-(1→2)-O-[alpha-D-吡喃半乳糖基-(1→3)]-beta-D-吡喃半乳糖基)氧基]丙基]氨基]-6-氧代己基]六氢-2-氧代-1H-噻吩并[3,4-d]咪唑-4-戊酰胺  O-6-脱氧-α-L-吡喃半乳糖基-(1→2)-O-β-D-吡喃半乳糖基-(1→4)-D-葡萄糖  7-[[2-O-(6-脱氧-alpha-L-吡喃半乳糖基)-beta-D-吡喃半乳糖基]氧基]-4-甲基-2H-1-苯并吡喃-2-酮  7-[[3-O-(6-脱氧-alpha-L-吡喃半乳糖基)-beta-D-吡喃半乳糖基]氧基]-4-甲基-2H-1-苯并吡喃-2-酮  7-[[4-O-(6-脱氧-alpha-L-吡喃半乳糖基)-beta-D-吡喃半乳糖基]氧基]-4-甲基-2H-1-苯并吡喃-2-酮  O-6-脱氧-alpha-L-吡喃半乳糖基-(1→6)-O-[O-beta-D-甘露糖基-(1→4)-2-(乙酰氨基)-2-脱氧-beta-D-吡喃葡萄糖基-(1→4)]-2-(乙酰氨基)-2-脱氧-D-葡萄糖