Online Database of Chemicals from Around the World

阿拉伯三糖
[CAS# 89315-59-3]

供应商目录
卡博森斯化学科技 (苏州) 有限公司 中国 询价快递  
+86 (512) 6260-5585
sales@carbosynth.com
QQ 交谈
化学品生产商 (2006年起)
chemBlink 标准供应商 (2016年起)
阿拉伯三糖供应商总目录
基本信息
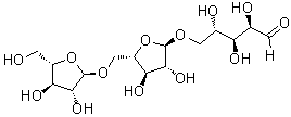
英文名 Arabinotriose
别名 O-alpha-L-Arabinofuranosyl-(1→5)-O-alpha-L-arabinofuranosyl-(1→5)-L-arabinose
产品名称 阿拉伯三糖
分子结构 CAS 登录号:89315-59-3, 阿拉伯三糖
分子式 C15H26O13
分子量 414.36
CAS 登录号 89315-59-3
物理化学性质
溶解度 溶解 (70 g/L) (25 ºC), 计算值*
密度 1.68±0.1 g/cm3 (20 ºC 760 torr), 计算值*
* 使用计算软件 Advanced Chemistry Development (ACD/Labs) V11.02 (©1994-2016 ACD/Labs)
市场分析报告
请浏览阿拉伯三糖市场分析报告总目录
相关产品
阿加曲班杂质38  阿加曲班杂质4  阿加曲班杂质B  阿加曲班M1代谢物  阿加曲班相关杂质2  阿拉伯糖  D-阿拉伯糖  D-阿拉伯糖二乙基缩硫醛  阿拉伯糖  阿拉伯四糖  阿拉伯糖基木聚糖  D-(+)-阿拉伯糖醇  L-(-)-阿拉伯糖醇  花生四烯酸  花生四烯酸乙酯  花生四烯酰乙醇胺  阿糖肌苷  Aramchol  阿雷西霉素  Araneosol