Online Database of Chemicals from Around the World

(3alpha,7alpha)-12,13-Epoxy-3,7,15-trihydroxy-trichothec-9-en-8-one-13C15
[CAS# 911392-36-4]

List of Suppliers
Sigma-Aldrich, Inc. China Inquire  
+86 (21) 6141-5566
800-819-3336
orderCN@sial.com
Chemical manufacturer since 1992
chemBlink standard supplier since 2013
Complete supplier list of (3alpha,7alpha)-12,13-Epoxy-3,7,15-trihydroxy-trichothec-9-en-8-one-13C15
Identification
Classification Analytical chemistry >> Standard >> Food and cosmetics standards
Name (3alpha,7alpha)-12,13-Epoxy-3,7,15-trihydroxy-trichothec-9-en-8-one-13C15
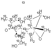
Molecular Structure CAS # 911392-36-4, (3alpha,7alpha)-12,13-Epoxy-3,7,15-trihydroxy-trichothec-9-en-8-one-<sup>13</sup>C<sub>15</sub>
Molecular Formula C15H20O6
Molecular Weight 296.32
CAS Registry Number 911392-36-4
EC Number 809-626-6
Safety Data
Hazard Classification
up    Details
HazardClassCategory CodeHazard Statement
Acute toxicityAcute Tox.3H301
Market Analysis Reports
List of Reports Available for (3alpha,7alpha)-12,13-Epoxy-3,7,15-trihydroxy-trichothec-9-en-8-one-13C15
Related Products
2,3-Epoxypropyl neodecanoate  (S)-(+)-N-(2,3-Epoxypropyl)phthalimide  N-(2,3-Epoxypropyl)phthalimide  2,3-Epoxypropyltrimethylammonium chloride  2a,3a-Epoxy-16b-(1-pyrrolidinyl)-5a-androstan-17b-ol  2,3-Epoxy-16-(1-pyrrolidinyl)androstan-17-one  trans-9,10-Epoxystearic acid methyl ester  3,4-Epoxytetrahydrofuran  exo-3,6-Epoxy-1,2,3,6-tetrahydrophthalic anhydride  24,25-Epoxytirucall-7-en-3,23-dione  (3alpha,7alpha)-12,13-Epoxy-3,7,15-trihydroxytrichothec-9-en-8-one-15-d  (2E,6E)-10,11-Epoxy-3,7,11-trimethyl-2,6-dodecadien-1-ol  1,2-Epoxy-4-vinylcyclohexane  Eprazinone  Eprazinone dihydrochloride  Eprinomectin  Epristeride  Eprodisate  Eprodisate disodium  Eprosartan