Online Database of Chemicals from Around the World

Ulgut
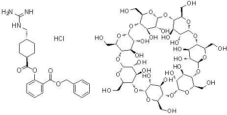
[CAS# 91574-91-3]

List of Suppliers
Shanghai Yingrui Biopharm Co., Ltd. China Inquire  
+86 (21) 3358-5366
3466-6753
+86 13311639313
sales02@shyrchem.com
Skype Chat
QQ chat
Chemical manufacturer since 2009
chemBlink standard supplier since 2017
Complete supplier list of Ulgut
Identification
Name Ulgut
Synonyms beta-Cyclodextrin, compd. with trans-phenylmethyl 2-[[[4-[[(aminoiminomethyl)amino]methyl]cyclohexyl]carbonyl]oxy]benzoate hydrochloride; TA 903
Molecular Structure CAS # 91574-91-3, Ulgut, beta-Cyclodextrin, compd. with trans-phenylmethyl 2-[[[4-[[(aminoiminomethyl)amino]methyl]cyclohexyl]carbonyl]oxy]benzoate hydrochloride, TA 903
Molecular Formula C42H70O35.C23H27N3O4.HCl
Molecular Weight 1580.92
CAS Registry Number 91574-91-3
Market Analysis Reports
List of Reports Available for Ulgut
Related Products
U-CAT 5003  U-Cat 12XD  Udenafil  UDP-6-azido-6-deoxy-D-Gal.2Na  UDP-galactose disodium salt  UDP-GlcNAz.2Na  Ufiprazole  Ugaxanthone  UK 383367  UK 5099  Uliginosin B  Ulinastatin  Ulipristal  Ulipristal acetate  Ultramark 1621  Ultraviolet Absorbent UV-1164  Ultraviolet Absorbent UV-360  Ultraviolet Absorbent UV-P  Ultraviolet Absorber UV 292  Ulvan