Online Database of Chemicals from Around the World

Lipid A 406
[CAS# 91841-27-9]

供应商目录
卡博森斯化学科技 (苏州) 有限公司 中国 询价快递  
+86 (512) 6260-5585
sales@carbosynth.com
QQ 交谈
化学品生产商 (2006年起)
chemBlink 标准供应商 (2016年起)
Lipid A 406供应商总目录
基本信息
英文名 Lipid A 406
别名 2-Deoxy-6-O-[2-deoxy-3-O-[(3R)-3-hydroxy-1-oxotetradecyl]-2-[[(3R)-3-hydroxy-1-oxotetradecyl]amino]-4-O-phosphono-beta-D-glucopyranosyl]-2-[[(3R)-3-hydroxy-1-oxotetradecyl]amino]-alpha-D-glucopyranose 1-(dihydrogen phosphate) 3-[(3R)-3-hydroxytetradecanoate]; Compound 406; Glycophospholipids, lipid IV A; LA 14PP
产品名称 Lipid A 406
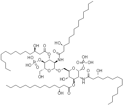
分子结构 CAS 登录号:91841-27-9, Lipid A 406
分子式 C68H130N2O23P2
分子量 1405.71
CAS 登录号 91841-27-9
物理化学性质
溶解度 不溶 (2.0e-5 g/L) (25 ºC), 计算值*
密度 1.21±0.1 g/cm3 (20 ºC 760 torr), 计算值*
* 使用计算软件 Advanced Chemistry Development (ACD/Labs) V11.02 (©1994-2016 ACD/Labs)
市场分析报告
请浏览Lipid A 406市场分析报告总目录
相关产品
马来酸酸化亚麻籽油三乙胺盐  亚麻籽油与苯甲酸,甘油,马来酸酐,季戊四醇,邻苯二甲酸酐和豆油的聚合物  亚麻籽油与己二胺和癸二酸的聚合物  亚麻籽油与双酚A,C18-不饱和脂肪酸二聚体,乙二胺,甲醛,甘油,间苯二甲酸,松香,松香油脂肪酸,1-十三烷醇和丙烷三甲醇的聚合物  利谷隆  Linus cyclopeptide  三碘代甲状腺素钠盐  脂肪酶  脂蛋白脂酶  Lipedoside B IIIb  脂类5  鹅掌揪内酯  (+/-)-alpha-硫辛酰胺  硫辛酸  R-(+)-硫辛酸  R-(alpha)-硫辛酸氨基丁三醇盐  (-)-尼泊司他汀  液化石油气体  路路通内酯  极美 Plus