Online Database of Chemicals from Around the World

Disodium bilirubinate
[CAS# 93891-87-3]

List of Suppliers
BOC Sciences USA Inquire  
+1 (631) 485-4226
info@bocsci.com
Chemical manufacturer
chemBlink standard supplier since 2010
Aktin Chemicals Inc China Inquire  
+86 400-028-7725
info@aktinchem.com
QQ chat
Chemical manufacturer
chemBlink standard supplier since 2011
Complete supplier list of Disodium bilirubinate
Identification
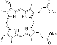
Name Disodium bilirubinate
Synonyms Disodium 1,10,19,22,23,24-hexahydro-3,7,13,18-tetramethyl-1,19-dioxo-2,17-divinyl-21H-biline-8,12-dipropionate
Molecular Structure CAS # 93891-87-3, Disodium bilirubinate, Disodium 1,10,19,22,23,24-hexahydro-3,7,13,18-tetramethyl-1,19-dioxo-2,17-divinyl-21H-biline-8,12-dipropionate
Molecular Formula C33H34N4O6.2Na
Molecular Weight 628.63
CAS Registry Number 93891-87-3
EC Number 299-468-9
Market Analysis Reports
List of Reports Available for Disodium bilirubinate
Related Products
3',6-Disinapoylsucrose  Disiquonium chloride  Disitertide  Disodium, [[5-(2,4-dioxopyrimidin-1-yl)-3,4-dihydroxyoxolan-2-yl]methoxy-oxidophosphoryl] (3,4,5-trihydroxyoxan-2-yl) phosphate  Disodium adenosine 5'-phosphate  Disodium 1-amino-4-(4-amino-3-sulfoanilino)anthraquinone-2-sulfonate  Disodium 3-aminonaphthalene-2,7-disulphonate  Disodium 8-amino-1,3,6-naphthalenetrisulfonate  Disodium 2-aminopentanedioate  Disodium Bathocuproinedisulfonate  Disodium 3,3'-(2-butyne-1,4-diylbis(oxy))bis(2-hydroxypropanesulphonate)  Disodium capryloamphodiacetate  Disodium 3,3'-carbonylbis(4-hydroxy-6-methoxybenzenesulfonate)  Disodium 7,7'-(carbonyldiimino)bis(4-hydroxynaphthalene-2-sulphonate)  Disodium [1-[(5-Chloro-2-hydroxyphenyl)azo]-2-naphthalenolato][4-hydroxy-3-[(2-hydroxy-5-nitrophenyl)azo]-7-[(1-oxo-2-propenyl)amino]-2-naphthalenesulfonato]chromate  Disodium citrate  Disodium clodronate tetrahydrate  Disodium cocoamphodiacetate  Disodium trans-crocetinate  Disodium [2,4-dihydro-4-[(2-hydroxy-5-nitrophenyl)azo]-5-methyl-2-phenyl-3H-pyrazol-3-onato][3-hydroxy-4-[(2-hydroxy-1-naphthalenyl)azo]-7-nitro-1-naphthalenesulfonato]chromate