Online Database of Chemicals from Around the World

1,2-苯二甲酸单辛基酯镉盐
[CAS# 94275-94-2]

供应商目录
Alfa Chemistry 美国 询价快递  
+1 (201) 478-8534
inquiry@alfa-chemistry.com
化学品供销商 (2012年起)
chemBlink 标准供应商 (2012年起)
1,2-苯二甲酸单辛基酯镉盐供应商总目录
基本信息
英文名 1,2-Benzenedicarboxylic acid monooctyl ester cadmium salt
产品名称 1,2-苯二甲酸单辛基酯镉盐
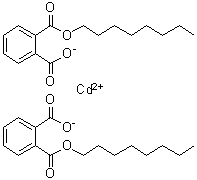
分子结构 CAS 登录号:94275-94-2, 1,2-苯二甲酸单辛基酯镉盐
分子式 2(C16H21O4).Cd
分子量 667.08
CAS 登录号 94275-94-2
EC 号码 304-483-1
市场分析报告
请浏览1,2-苯二甲酸单辛基酯镉盐市场分析报告总目录
相关产品
对苯二甲酸二甲酯  1,2-苯二甲酸二戊基酯(含支链和直链)  1,4-苯二羧酸 1-(2-乙基己基)酯  1,4-苯二甲酸乙基甲基酯  1,2-苯二甲酸单(1-乙基丙基)酯  1,2-苯二甲酸 1-(3-甲基丁基) 2-戊基酯  1,2-苯二甲酸单丁酯  邻苯二甲酸单(2-乙基己基)酯  1,2-苯二甲酸单(1-乙基己基)酯镉盐  1,2-苯二甲酸单(3-甲基戊基)酯  1,2-苯二甲酸辛基苄基酯  1,3-苯二甲酸与alpha-(2-氨基甲基乙基)-omega-(2-氨基甲基乙氧基)聚[氧基(甲基-1,2-乙二基)],己二酸,1,6-己烷二醇,1,1'-亚甲基二[4-异氰酸环己烷]和1,2,3-丙三醇的聚合物  1,2-苯二甲酸与(2Z)-2-丁烯二酸和乙烯基苯的聚合物  1,4-苯二甲酸与2,5-呋喃二酮,己二酸,氧基二[丙醇]和1,2-丙二醇的聚合物  1,2-苯二甲磺酸二钠盐  1,3-苯二甲硫醇  1,4-苯二甲硫醇  邻苯二甲醇  对苯二甲醇  1,3-苯二甲醇