Online Database of Chemicals from Around the World

Wuweizidilactone A
[CAS# 945610-99-1]

List of Suppliers
Chengdu Biopurify Phytochemicals Ltd. China Inquire  
+86 (28) 8263-3860
8263-3987
sales@biopurify.com
biopurify@gmail.com
Skype Chat
QQ chat
Chemical manufacturer
chemBlink standard supplier since 2017
Complete supplier list of Wuweizidilactone A
Identification
Name Wuweizidilactone A
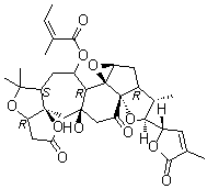
Molecular Structure CAS # 945610-99-1, Wuweizidilactone A
Molecular Formula C33H40O11
Molecular Weight 612.66
CAS Registry Number 945610-99-1
Properties
Solubility Slightly soluble (1.8 g/L) (25 ºC), Calc.*
Density 1.42±0.1 g/cm3 (20 ºC 760 Torr), Calc.*
* Calculated using Advanced Chemistry Development (ACD/Labs) Software V11.02 (©1994-2015 ACD/Labs)
Market Analysis Reports
List of Reports Available for Wuweizidilactone A
Related Products
Wood charcoal  Worenine  Wortmannin  WP 1066  WP 1130  Wright's stain  WST 5  Wulignan A1  Wuningmeisu C  Wushanicaritin  4-[4-(3,8-diazabicyclo[3.2.1]octan-3-yl)-8-fluoro-2-[[(2R,8S)-2-fluoro-1,2,3,5,6,7-hexahydropyrrolizin-8-yl]methoxy]pyrido[4,3-d]pyrimidin-7-yl]-5-ethynyl-6-fluoronaphthalen-2-ol  WX 671  WYE 125132  WYE 354  WYE-687  WZ 3146  WZ 4002  WZ 8040  Wisteria sinensis extract  Withaferine A