Online Database of Chemicals from Around the World

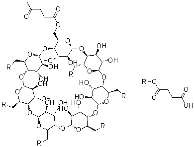
[6-(1,4-二氧代戊基)六(6-丁二酰基)]环阿卓七糖
[CAS# 957494-34-7]

基本信息
英文名 [6-(1,4-Dioxoamyl)]Hexakis(6-succinyl)cyclo(1,4-alpha-D-altroheptaose)
产品名称 [6-(1,4-二氧代戊基)六(6-丁二酰基)]环阿卓七糖
分子结构 CAS 登录号:957494-34-7, [6-(1,4-二氧代戊基)六(6-丁二酰基)]环阿卓七糖
分子式 C71H100O55
分子量 1833.52
CAS 登录号 957494-34-7
物理化学性质
溶解度 极易溶解 (1000 g/L) (25 ºC), 计算值*
密度 1.548±0.06 g/cm3 (20 ºC 760 torr), 计算值*
* 使用计算软件 Advanced Chemistry Development (ACD/Labs) V11.02 (©1994-2016 ACD/Labs)
市场分析报告
请浏览[6-(1,4-二氧代戊基)六(6-丁二酰基)]环阿卓七糖市场分析报告总目录
相关产品
1,5-二氧杂环庚烷-2-酮  (3aR,4S,7R,7aS)-2-[[(1R,2R)-2-[[4-(1,1-二氧代-1,2-苯并异噻唑-3-基)-1-哌嗪基]甲基]环己基]甲基]六氢-4,7-甲桥-1H-异吲哚-1,3(2H)-二酮  1-[[[(1,1-二氧代苯并[b]噻吩-2-基)甲氧基]羰基]氧基]-2,5-吡咯烷二酮  2-[2-[4-(5,5-二氧代二苯并[b,f][1,4]硫氮杂卓-11-基)-1-哌嗪基]乙氧基]乙醇  2-[[1,1-二氧代-6'-[[2-[4-[[2-(磺基氧基)乙基]磺酰基]苯基]乙基]氨基]螺[3H-2,1-苯并氧硫杂环戊烯-3,9'-[9H]氧杂蒽]-3'-基]甲基氨基]乙烷磺酸  (1,1-二氧代四氢-3-噻吩基)肼  [(1,1-二氧代四氢-3-噻吩基)甲基]胺  (1,1-二氧代四氢-2H-噻喃-4-基)乙酸  1,1-二氧代四氢-2H-噻喃-4-甲胺  (1,1-二氧代四氢-2H-噻喃-4-基)甲基对甲苯磺酸酯  1,3-二氧代-1h-苯并[de]异喹啉-2(3h)-基三氟甲烷磺酸酯  1,1-二氧代苯并[b]噻吩-2-基甲基氯甲酸酯  4-(1,3-二氧代丁基)-1-哌嗪羧酸叔丁酯  3,5-二氧代环己烷羧酸  (24E)-3,23-二氧代-9,19-环羊毛甾-24-烯-26-酸  1,3-二氧代-2,7-二氮杂螺[4.5]癸烷-7-羧酸叔丁酯  2,3-二氧代-2,3-二氢-1H-吲哚-5-磺酰氯  1,3-二氧代-1,3-二氢异苯并呋喃-5-基1,3-二氧代-1,3-二氢异苯并呋喃-5-羧酸酯  4-(1,3-二氧代异吲哚啉-2-基)丁酸  N-(9,10-二氧代-9,10-二氢-菲-2-基)-2,2-二甲基丙酰胺