Online Database of Chemicals from Around the World

Huzhangoside D
[CAS# 96315-53-6]

List of Suppliers
Chengdu Must Bio-technology Co., Ltd. China Inquire  
+86 (28) 8528-7229
anniedai0203@gmail.com
Chemical manufacturer since 2007
chemBlink standard supplier since 2012
Chengdu Biopurify Phytochemicals Ltd. China Inquire  
+86 (28) 8263-3860
8263-3987
sales@biopurify.com
biopurify@gmail.com
Skype Chat
QQ chat
Chemical manufacturer
chemBlink standard supplier since 2017
Neostar United (Changzhou) Industrial Co., Ltd. China Inquire  
+86 (519) 8555-7386
+86 18015025600
marketing1@neostarunited.com
Chemical distributor since 2014
chemBlink standard supplier since 2020
Indofine Chemical Company, Inc. USA Inquire  
+1 (888) 463-6346
info@indofinechemical.com
Chemical manufacturer since 1981
Complete supplier list of Huzhangoside D
Identification
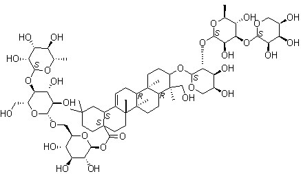
Name Huzhangoside D
Synonyms Hushangoside
Molecular Structure CAS # 96315-53-6, Huzhangoside D, Hushangoside
Molecular Formula C64H104O30
Molecular Weight 1353.49
CAS Registry Number 96315-53-6
Properties
Solubility Practically insoluble (0.014 g/L) (25 ºC), Calc.*
Density 1.52±0.1 g/cm3 (20 ºC 760 Torr), Calc.*
* Calculated using Advanced Chemistry Development (ACD/Labs) Software V11.02 (©1994-2013 ACD/Labs)
Market Analysis Reports
List of Reports Available for Huzhangoside D
Related Products
4-Hydrazinobenzene-1-sulfonamide hydrochloride  4-Hydrazinobenzenesulfonic acid  2-Hydrazino-1H-1,3-benzimidazole  3-Hydrazino-1,2-benzisothiazole 1,1-dioxide  3-Hydrazinobenzoic acid  4-Hydrazinobenzoic acid  4-Hydrazinobenzoic acid hydrochloride  2-Hydrazinobenzoic acid hydrochloride  Huperzine B  Huperzine C  Hyaluronate lyase  Hyaluronic acid  Hyaluronidase (cow testis isoenzyme)  Hyaluronidase (sheep testis isoenzyme)  Hybridaphniphylline A  Hybridaphniphylline B  Hybrne PS 2550  Hydantoic acid  Hydantoin  Hydantol F